Foram encontradas 822 questões.
A lei de formação de uma sequência de números é a partir do primeiro termo, um número qualquer diferente de zero, multiplicá-lo por - 4 (quatro negativo) para obter o segundo termo. O terceiro termo é obtido a partir do segundo termo dividindo-o por 2. Alternam-se esses cálculos na obtenção dos termos seguintes, assim o 4º termo é obtido a partir do 3º termo multiplicado por - 4 e segue. A soma dos 13 primeiros termos dessa sequência quando o número inicial for 3 será igual a
Provas
Questão presente nas seguintes provas
Laerte comprou 18 litros de tinta látex que, de acordo com
as instruções na lata, rende 200 m2 com uma demão de
tinta. Se Laerte seguir corretamente as instruções da lata,
e sem desperdício, depois de pintar 60 m2 de parede com
duas demãos de tinta látex, sobrarão na lata de tinta
comprada por ele
Provas
Questão presente nas seguintes provas
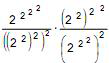
O resultado dessa expressão numérica:

é igual a:

é igual a:
Provas
Questão presente nas seguintes provas
Em média, cerca de 3,8 milhões de pessoas são transportadas
diariamente no Metrô. No dia 14 de novembro de
2012, o Metrô registrou recorde histórico com o transporte
de 4,1 milhões, o que superou a média diária de passageiros
transportados em, aproximadamente,
Provas
Questão presente nas seguintes provas
Se P e Q são números distintos do conjunto \( {\begin{Bmatrix}-{9\over 20},-{2\over 3},-{3\over 5}\end{Bmatrix}} \), então o maior valor possível de P −Q é:
Provas
Questão presente nas seguintes provas
O algarismo da milhar do resultado da soma
6+66+666+6666+66666+666666+6666666+66666666+666666666
é igual a
6+66+666+6666+66666+666666+6666666+66666666+666666666
é igual a
Provas
Questão presente nas seguintes provas
Dona Amélia e seus quatro filhos foram a uma doceria comer tortas. Dona Amélia comeu 2/3 de uma torta. O 1º filho comeu 3/2 do que sua mãe havia comido. O 2º filho comeu 3/2 do que o 1º filho havia comido. O 3º filho comeu 3/2 do que o 2º filho havia comido e o 4º filho comeu 3/2 do que o 3º filho havia comido. Eles compraram a menor quantidade de tortas inteiras necessárias para atender a todos. Assim, é possível calcular corretamente que a fração de uma torta que sobrou foi
Provas
Questão presente nas seguintes provas
Do número total de vagões de uma linha do Metrô, 48 têm
cinco anos ou mais de uso, 32 têm menos de cinco anos
de uso, 36 já passaram pelo processo de remodelagem de
sinalização interna, e os demais ainda não passaram por
esse processo. Em tais circunstâncias, a porcentagem dos
vagões dessa linha que ainda não passaram pelo processo
de remodelagem de sinalização interna é igual a
Provas
Questão presente nas seguintes provas
Viagens
Viagens de avião e de metrô podem guardar certa semelhança. Entre nuvens carregadas, ou tendo o azul como horizonte infinito, o passageiro não sente que está em percurso; no interior dos túneis, diante das velozes e uniformes paredes de concreto, o passageiro tampouco sabe da viagem. Em ambos os casos, vai de um ponto a outro como se alguém o levantasse de um lugar para pô-lo em outro, mais adiante.
Nesses casos, praticamente se impõe uma viagem interior. As nuvens, o azul ou o concreto escuro hipnotizam-nos, deixam-nos a sós com nossas imagens e nossos pensamentos, que também sabem mover-se com rapidez. Confesso que gosto desses momentos que, sendo velozes, são, paradoxalmente, de letargia: os olhos abertos veem para dentro, nosso cinema interior se abre para uma profusão de cenas vividas ou de expectativas abertas. Em tais viagens, estamos surpreendentemente sós - uma experiência rara em nossos dias, concordam?
Que ninguém se socorra do celular ou de qualquer engenhoca eletrônica, por favor: que enfrente o vital desafio de um colóquio consigo mesmo, de uma viagem em que somos ao mesmo tempo passageiros e condutores, roteiristas do nosso trajeto, produtores do nosso sentido. Não é pouco: nesses minutos de íntima peregrinação, o único compromisso é o de não resistir à súbita liberdade que nossa imaginação ganhou. Chegando à nossa estação ou ao nosso aeroporto, retomaremos a rotina e nos curvaremos à fatalidade de que as obrigações mundanas rejam o nosso destino. Navegar é preciso, viver não é preciso, diziam os antigos marinheiros. É verdade: há viagens em que o menos importante é chegar.
(Ulisses Rebonato, inédito)
Provas
Questão presente nas seguintes provas
- OrtografiaFormação e Estrutura das Palavras
- Morfologia
- SemânticaSinônimos e Antônimos
- Interpretação de Textos
Examine o texto abaixo e responda a questão.
A Casa Aymoré, CNPJ no 123.456.789/00001-01, por intermédio de seu representante legal José da Silva e Souza, portador da carteira de identidade nº 1.234.567 − SSP/SP e do CPF nº 123.456.789-01, declara, sob as penas da lei, que possui sistema de gerenciamento de demandas compatível com o que foi estipulado no anexo 6 do edital em epígrafe.
São Paulo, 23 de janeiro de 2011.
José da Silva e Souza Procurador da Casa Aymoré
A sigla SSP/SP refere-se a
A Casa Aymoré, CNPJ no 123.456.789/00001-01, por intermédio de seu representante legal José da Silva e Souza, portador da carteira de identidade nº 1.234.567 − SSP/SP e do CPF nº 123.456.789-01, declara, sob as penas da lei, que possui sistema de gerenciamento de demandas compatível com o que foi estipulado no anexo 6 do edital em epígrafe.
São Paulo, 23 de janeiro de 2011.
José da Silva e Souza Procurador da Casa Aymoré
A sigla SSP/SP refere-se a
Provas
Questão presente nas seguintes provas
Cadernos
Caderno Container