Foram encontradas 350 questões.
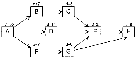
Um Tenente, gerente de projeto do sistema beta_mb, montou o seguinte diagrama, o qual expõem a duração de atividades. Se o Tenente substituir a duração da atividade B para 12 dias e a duração da atividade G para 9 dias, qual dos seguintes caminhos seria o caminho critico do projeto beta_mb? (Observação d=duração da atividade).

Provas
No contexto de Funções de hash, assinale a opção que apresenta uma representação válida ( em hexadecimal) de um valor de hash MD5.
Provas
Disciplina: TI - Organização e Arquitetura dos Computadores
Banca: Marinha
Orgão: Marinha
Segundo o autor Marie A Monteiro (2012), existem diversas formas de se realizar o Mapeamento de Dados entre a Memória Principal (MP) e a Memória Cache (MC). Seja uma MP constituída de blocos com largura de 32 bytes, associada a uma MC com as seguintes características: capacidade de 64KB, quantidade de linhas de 4K e utilizando o mapeamento associativo por conjunto de 4. Suponha que, em um dado instante, o processador realize um acesso, colocando o seguinte endereço (expresso em algarismos hexadecimais) 3FC92B6.
Assim, qual deverá ser o valor binário do campo conjunto que será localizado pelo sistema de controle da cache?
Provas
No contexto da linguagem Python 3, considere a variável.
s = '1202/TQ - lisarB od ahniraM ad etneneT-oriemirP'
Assinale a instrução que exibe o texto 'CP-T/2021'.
Provas
Na linguagem Java, existe uma diferença entre comparação por referência e comparação por conteúdo. O operador "==" e o método "equals" apresentam comportamentos específicos com relação a essa característica. Analise o código Java da figura abaixo.
public class Quest {
public static void main(String args[]) {
Integer n1Jn2,n3,n4,n5;
int n6;
String n7="1";
char r1,r2,r3,r4,r5,r6;
String p;
n1=1; n2=l1 n3=n1;
n4=n2; n6=1; n5=n6;
r1=(nl.equals(n2)?'m': 'b' );
r2=(nl.equals(n3)? 'm': 'b');
r3=(nl==n4?'b':'m');
r4=(nl==nS?'b':'m');
r5=(nl.equals(n?)?'m': 'b');
r6=(n1==n6?'m': 'b');
p=""+r1+r2+r3+r4+rS+r6;
System.out.println(p);
}
}
Assinale a opção que apresenta a mensagem após a execução do programa.
Provas
- Conceitos BásicosPrincípiosAutenticidade
- Ataques e Golpes e AmeaçasMITM: Man-in-the-Middle
- AAA: Autenticação, Autorização e AuditoriaAutenticação de Usuários
Segundo Stallings (2008), no que se refere ao contexto de Segurança e Criptografia, assinale a opção que apresenta uma forma de prevenção contra ataques do tipo homem no meio (man-in-the-middle).
Provas
Segundo Stallings (2008), com relação aos serviços proporcionados pelos protocolos de segurança Autenticação do Cabeçalho (AH) e Encapsulamento de Segurança do Payload (ESP) do IPSec, podemos afirmar que apenas o:
Provas
Segundo Tanenbaum (2011), no contexto de Redes, analise as afirmativas abaixo considerando uma camada k qualquer do modelo OSI:
I- Suponha que os algoritmos usados para implementar as operações na camada k sejam mudados. Essa mudança não afeta a camada superior ou inferior.
II- Suponha que haja uma mudança no serviço fornecido pela camada k. Essa mudança não afeta a camada superior ou inferior.
III- Suponha que haja uma mudança no serviço fornecido pela camada k. Essa mudança não afeta as camadas inferiores, mas as operações da camada superior possivelmente terão que ser reimplementadas.
IV- Suponha que os algoritmos usados para implementar as operações na camada k sejam mudados. Essa mudança não afeta as camadas inferiores, mas as operações da camada superior possivelmente terão que ser reimplementadas.
Assinale a opção correta.
Provas
Analise o código Java abaixo:

Substitua o valor 1 por 8 e o valor 2 por 5 e assinale a opção que apresenta o resultado que será exibido após a execução do programa.
Provas
Segundo RÊGO (2013), qual das funções abaixo, que compõem a disciplina Gestão de Dados, é a responsável por gerir e armazenar os metadados da empresa, além de viabilizar formas de acesso?
Provas
Caderno Container