Foram encontradas 452 questões.
A toxoplasmose é uma zoonose cosmopolita causada pelo Toxoplasma gondii, um protozoário da família Soncocystidae. O Toxoplasma gondii possui um ciclo de vida complexo e tem, como hospedeiros definitivos, felinos domésticos e selvagens e, como hospedeiros intermediários, quase todas as espécies de sangue quente. A infestação é responsável por determinar quadros clínicos variados, desde os assintomáticos às manifestações sistêmicas extremamente graves. Quanto ao ciclo biológico do Toxoplasma gondii, analise as afirmativas.
I. Os felinos eliminam os parasitas pelas fezes por um período aproximado de duas semanas depois de contaminados, após este período adquirem imunidade.
II. Transplantes de órgãos podem servir como forma de transmissão de toxoplasmose entre indivíduos.
III. O protozoário não consegue atravessar a barreira placentária, podendo haver contaminação mãe/feto somente durante o parto.
IV. Cistos de Toxoplasma gondii podem ficar viáveis por trinta dias em carne suína e ovina conservadas em temperatura de geladeira, entretanto, tornam-se inviáveis ao congelamento superior a –12°C ou ao cozimento superior a 67°C.
Estão corretas apenas as afirmativas
Provas
Durante a inspeção post mortem, a marcação eventual de peças destinadas ao exame confirmativo no Departamento de Inspeção Final (D.I.F.) é realizada através da identificação por chapinhas metálicas dos tipos 1 e 2, seja para identificar as peças portadoras de lesão ou as que se destinam a integrar o conjunto dos despojos individuais. Sobre a marcação com as chapinhas metálicas, analise as afirmativas.
I. As chapinhas tipo 1 (numeradas) são destinadas a garantir a intercorrespondência das peças (vísceras e carcaça) de um mesmo animal.
II. As chapinhas tipo 1 são indicadoras do motivo do sequestro da peça.
III. As chapinhas tipo 2 constituem quatro séries homólogas (quadruplicata) e são distribuídas às linhas da mesa de evisceração.
IV. Em caso de cisticercose, apenas o coração e a carcaça remetidos ao D.I.F. serão marcados com as chapinhas tipo 1.
Estão corretas apenas as afirmativas
Provas
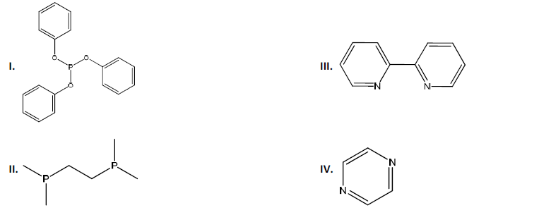
Analise os compostos.

Os compostos que podem atuar como ligantes são apenas os das alternativas
Provas
Provas

Sobre o espaço rural moderno, é correto afirmar que
Provas
Provas
Provas
Sobre o cancelamento do registro de agrotóxicos, analise as afirmativas.
I. Uma entidade de classe representante dos engenheiros agrônomos pode requerer o cancelamento de um agrotóxico, apresentando, para isso, laudo técnico firmado por dois profissionais habilitados, acompanhados de relatórios dos estudos realizados de metodologias internacionalmente reconhecidas.
II. O órgão federal registrante terá o prazo de trinta dias para notificar a empresa responsável pelo produto registrado ou em vias de obtenção de registro, que terá igual prazo, contado do recebimento da notificação, para apresentação de defesa.
III. Após o recebimento da defesa, o órgão federal registrante terá o prazo de trinta dias para se pronunciar, devendo seu dirigente máximo analisar e se manifestar sobre o pedido de cancelamento ou de impugnação.
Está(ão) correta(s) apenas a(s) afirmativa(s)
Provas
A figura representa parte de um projeto de instalações elétricas prediais, onde as tomadas baixas e média são para uso geral de 100 W, e a tomada alta é para aquecimento (chuveiro).

Estão corretas apenas as alternativas
Provas
Uma tarefa importante da manutenção preditiva é a análise de tendência de falha, que consiste em prever com antecedência a quebra, por meio de instrumentos e aparelhos que exercem vigilância constante, através de medidas de parâmetros, predizendo a necessidade de reparo. Observe tal tendência no gráfico a seguir.

Estão corretas apenas as alternativas
Provas
Caderno Container