Foram encontradas 420 questões.

Aflatoxinas são micotoxinas produzidas por fungos do gênero Aspergillus que contaminam os alimentos, principalmente cerais e amendoim. A contaminação dos alimentos pelo fungo está diretamente relacionada com o teor de umidade do produto e com a temperatura do ambiente.
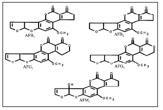
O Ministério da Agricultura, Pecuária e Abastecimento (MAPA) analisa grãos destinados ao consumo humano e animal quanto ao teor de aflatoxinas totais — soma das aflatoxinas AFB1, AFB2, AFG1 e AFG2 —, que não deve ultrapassar 20 • g/kg. Nos organismos humano e animal, a aflatoxina AFB1 é metabolizada formando a aflatoxina AFM1, também tóxica, que é secretada no leite. A maior toxicidade das aflatoxinas AFB1 e AFG1 em relação a AFB2 e AFG2 deve-se, principalmente, às características estruturais dessas moléculas. As estruturas químicas das aflatoxinas estão mostradas na figura acima. Considerando essas informações, julgue os itens abaixo, com relação às aflatoxinas.As aflatoxinas mostradas na figura são produzidas por fungos do gênero Aspergillus.
Provas
A avaliação da qualidade microbiológica de um produto fornece informações quanto ao seu risco para a saúde do consumidor, às condições de processamento e armazenamento e a sua vida útil. Julgue os itens seguintes com relação a essas avaliações.
Os produtos destinados à alimentação humana ou animal, devem, no caso da salmonella, apresentar ausência em 25g.
Provas
Acerca dos agentes antimicrobianos na terapêutica da mastite, julgue os itens a seguir.
Considerando-se a questão do risco à saúde humana, é possível que um leite seja considerado adequado para o consumo mesmo contendo resíduos de um dado antimicrobiano.
Provas
Em face do que dispõe a legislação federal acerca de inspeção industrial e sanitária de produtos de origem animal, julgue os itens abaixo.
No mundo de hoje, há uma grande preocupação em não se infringir sofrimento desnecessário aos animais em geral. Tal comportamento levou muitos países, incluindo o Brasil, a adotarem legislações exigindo técnicas de abate humanitário dos animais produtores de carne.
Provas
Em face do que dispõe a legislação federal acerca de inspeção industrial e sanitária de produtos de origem animal, julgue os itens abaixo.
A venda de leite cru diretamente aos consumidores é permitida tão-somente nas localidades onde não exista usina de beneficiamento de leite.
Provas
Uma alternativa segura para a transferência de material genético bovino, de países onde ocorre vírus de febre aftosa exótico para o Brasil, é a importação de embriões submetidos a tratamento específico para a eliminação do agente causal da doença.
Provas
Julgue os itens a seguir, acerca da biotecnologia, da engenharia genética e das plantas transgênicas.
Na Terra, todos os seres vivos apresentam DNA, composto por um esqueleto de grupos fosfatados e açúcares, no qual são dispostas as bases adenina, citosina, guanina e timina. O arranjo dessas bases no esqueleto determina as características genéticas específicas de cada organismo.
Provas
O Regulamento de Defesa Sanitária Vegetal, Decreto n.º 24.114, de 12 de abril de 1934, apesar de tratar-se de uma legislação bem antiga, ainda é considerado muito avançado nos seus conceitos. Amparado nas diretrizes desse regulamento, julgue as providências tomadas nas situações hipotéticas apresentadas nos itens que se seguem.
Um fiscal federal agropecuário, lotado no PVA do aeroporto do Rio de Janeiro, não permitiu o desembarque de uma carga de maçãs em caixas de madeira, devidamente acompanhada do certificado fitossanitário e demais documentos, por suspeitar das condições fitossanitárias das caixas.
Provas
Os queijos podem ser classificados de acordo com o conteúdo de matéria gorda no extrato seco e o conteúdo de umidade. Algumas substâncias que podem ser adicionadas nesses produtos incluem os corantes, como o urucum e a cúrcuma, o dióxido de titânio e o cloreto de sódio. Com relação aos métodos de análise de queijos e de seus componentes, julgue os itens a seguir.
A espectrofotometria de emissão atômica é a técnica normalmente utilizada para a determinação do teor de cloreto de sódio em uma amostra.
Provas
Julgue os itens que se seguem, com respeito a aspectos fitossanitários relativos a algumas culturas.
O fogo bacteriano das pomáceas, causado pela bactéria Erwinia amylovora, é considerado uma praga quarentenária no Brasil. A entrada de suas plantas hospedeiras é proibida por um grande número de países, sendo comum a exigência de certificado fitossanitário para essas plantas, mesmo em países onde a praga já esteja estabelecida.
Provas
Caderno Container