Foram encontradas 613 questões.
Um cilindro circular reto possui altura igual ao raio de sua base. Se a razão entre o volume do cilindro, dado em metros cúbicos, e a sua área total, dada em metros quadrados, é igual a 2 metros, então a área lateral do cilindro, em m² , é igual a
Provas
Questão presente nas seguintes provas
Uma empresa tem sede sobre um grande terreno, plano e de forma circular. Algumas informações importantes sobre o terreno foram perdidas, mas se sabe que o seu raio, quando dado em km, é um número inteiro e que sua área está compreendida entre 35 km² e 65 km² . Um técnico da empresa afirma que as informações disponíveis são suficientes para se estimar o perímetro do terreno da empresa.
Considerando π ≅ 3,14, conclui-se que o perímetro do terreno dessa empresa, expresso em km, está compreendido entre
Considerando π ≅ 3,14, conclui-se que o perímetro do terreno dessa empresa, expresso em km, está compreendido entre
Provas
Questão presente nas seguintes provas
Duas distribuidoras de gás, P e Q, são as responsáveis pela distribuição de botijões de gás de uma cidade. Dos 2.500 botijões distribuídos diariamente por P, 2% apresentam defeito e, dos 4.500 botijões distribuídos diariamente por Q, 5% apresentam defeito.
Se João é um morador dessa cidade e recebeu, nessa manhã, um botijão de gás defeituoso, qual é a probabilidade de João tê-lo recebido da distribuidora Q?
Se João é um morador dessa cidade e recebeu, nessa manhã, um botijão de gás defeituoso, qual é a probabilidade de João tê-lo recebido da distribuidora Q?
Provas
Questão presente nas seguintes provas
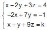
Para que o sistema linear
seja impossível, o valor de k deve ser diferente de
seja impossível, o valor de k deve ser diferente deProvas
Questão presente nas seguintes provas

A tabela mostra as notas finais dos alunos de cinco turmas do 3° ano do Ensino Médio de uma escola, na disciplina Matemática.
A turma cujas notas apresentam o menor desvio padrão é aquela de número
Provas
Questão presente nas seguintes provas
Atualmente, estima-se que cada brasileiro produza 378 quilos de resíduos urbanos (lixo) por ano.
De acordo com essa informação, no mínimo quantos brasileiros são necessários para produzir mais de 10 toneladas de resíduos urbanos em um ano?
De acordo com essa informação, no mínimo quantos brasileiros são necessários para produzir mais de 10 toneladas de resíduos urbanos em um ano?
Provas
Questão presente nas seguintes provas
Os funcionários de uma revenda de botijões de gás levaram 1 hora e 25 minutos para carregar um caminhão.
Se esse caminhão começou a ser carregado às 9 h 42 min, que horas eram quando os funcionários terminaram o serviço?
Se esse caminhão começou a ser carregado às 9 h 42 min, que horas eram quando os funcionários terminaram o serviço?
Provas
Questão presente nas seguintes provas
Em um mercado, o pó de café é vendido em pacotes de três tamanhos diferentes: pequeno, médio e grande. Um pacote médio custa R$ 4,60. Um pacote pequeno é R$ 1,80 mais barato que um médio. Um pacote grande custa o triplo do preço de um pequeno.
Qual é o preço de um pacote grande?
Qual é o preço de um pacote grande?
Provas
Questão presente nas seguintes provas
Em uma praça, há um campinho de futebol retangula com 18 m de largura e 32 m de comprimento.
Qual é, em m2 , a área ocupada por esse campinho?
Qual é, em m2 , a área ocupada por esse campinho?
Provas
Questão presente nas seguintes provas
Uma bicicleta, que custa R$ 393,00, pode ser comprada pagando-se R$ 87,00 de entrada mais seis prestações iguais, sem juros.
Qual é, em reais, o valor de cada prestação?
Qual é, em reais, o valor de cada prestação?
Provas
Questão presente nas seguintes provas
Cadernos
Caderno Container