Magna Concursos

Foram encontradas 50 questões.

1421648 Ano: 2014
Disciplina: Português
Banca: IADES
Orgão: IPHAN

Texto 1 para responder a questão.

Catedral Metropolitana Nossa Senhora Aparecida

enunciado 1421648-1

Disponível em: <http://vemviverbrasilia.com.br/atrativos/catedralmetropolitana-

nossa-senhora-aparecida>. Acesso em: 19/11/2013, com adaptações.

Assinale a alternativa que apresenta vocábulos equivalentes, de acordo com o sentido que assumem no contexto em que foram empregados.
 

Provas

Questão presente nas seguintes provas
1421647 Ano: 2014
Disciplina: Português
Banca: IADES
Orgão: IPHAN
Texto 3 para responder a questão.

Por que preservar ?

enunciado 1421647-1
Disponível em: <http://www.brasiliapatrimoniodahumanidade.
df.gov.br/acervo/pdf/patrimonio_historico_mp_sao_paulo.pdf>.
Acesso em: 20/11/2013, com adaptações.
De acordo com as ideias apresentadas no texto, é correto inferir que a:
 

Provas

Questão presente nas seguintes provas
1419319 Ano: 2014
Disciplina: Português
Banca: IADES
Orgão: IPHAN

Texto 1 para responder a questão.

Catedral Metropolitana Nossa Senhora Aparecida

enunciado 1419319-1

Disponível em: <http://vemviverbrasilia.com.br/atrativos/catedralmetropolitana-

nossa-senhora-aparecida>. Acesso em: 19/11/2013, com adaptações.

Com base nas informações do texto, assinale a alternativa correta.
 

Provas

Questão presente nas seguintes provas
328595 Ano: 2014
Disciplina: Informática
Banca: IADES
Orgão: IPHAN
Com relação aos botões situados no pacote de software Microsoft Office (Word, Excel, PowerPoint, Outlook), assinale a alternativa que indica a funcionalidade do botão enunciado 328595-1 .
 

Provas

Questão presente nas seguintes provas
328594 Ano: 2014
Disciplina: Informática
Banca: IADES
Orgão: IPHAN
Quanto à função de um arquivo no formato ZIP, é correto afirmar que se trata de um(a):
 

Provas

Questão presente nas seguintes provas
328593 Ano: 2014
Disciplina: Direito Ambiental
Banca: IADES
Orgão: IPHAN
Provas:
Com relação aos crimes contra o ordenamento urbano e o patrimônio cultural dispostos na Lei n° 9.605/1998, assinale a alternativa correta.
 

Provas

Questão presente nas seguintes provas
328592 Ano: 2014
Disciplina: Direito Penal
Banca: IADES
Orgão: IPHAN
Considerando os crimes praticados por funcionário público contra a Administração em geral, previstos no Código Penal brasileiro vigente, assinale aquele que tem previsão de sanção na modalidade culposa.
 

Provas

Questão presente nas seguintes provas
328591 Ano: 2014
Disciplina: Engenharia Civil
Banca: IADES
Orgão: IPHAN
Considerando que uma das fases mais inseguras de uma obra é a de escavações, em relação a esse quesito, é correto afirmar que a NR-18 – Condições e meio ambiente de trabalho na indústria da construção regulamenta que
 

Provas

Questão presente nas seguintes provas
328590 Ano: 2014
Disciplina: Engenharia Civil
Banca: IADES
Orgão: IPHAN

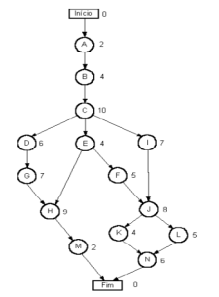
O Program Evaluation and Review Technique (PERT) e o Critical Path Method (CPM) são utilizados para o gerenciamento da construção civil.

enunciado 328590-1

Com base na rede apresentada, na qual as atividades da obra estão representadas por letras, e considerando a duração dessas atividades em semanas, infere-se que

 

Provas

Questão presente nas seguintes provas
328589 Ano: 2014
Disciplina: Engenharia Civil
Banca: IADES
Orgão: IPHAN
No que se refere à NBR 5410 – Instalações elétricas de baixa tensão, assinale a alternativa que apresenta as dimensões das tomadas de uma cozinha que tenha 3,5m x 4,5 m de dimensões.
 

Provas

Questão presente nas seguintes provas