Foram encontradas 1.450 questões.
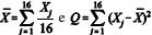
Uma amostra aleatória simples X1, X2, ..., X16 será retirada de uma população normal com média µ e desvio-padrão σ, ambos desconhecidos. Para estimá-los, são propostas as estatísticas
. Com base nessas informações, julgue o item seguinte.
A matriz de covariância do vetor aleatório
é a matriz de informação de Fisher.
. Com base nessas informações, julgue o item seguinte.A matriz de covariância do vetor aleatório
é a matriz de informação de Fisher.Provas
Questão presente nas seguintes provas

O quadro acima apresenta uma tábua abreviada de mortalidade para determinada população, obtida a partir de um censo demográfico realizado em 2007. As duas primeiras colunas dessa tabela definem o início e o comprimento do intervalo de tempo dos grupos etários (terceira coluna). A probabilidade Q(X, N) é a estimativa do risco de morte de um indivíduo pertencente ao grupo etário (X, X + N). Com base nas informações apresentadas no texto e considerando-se que o número de sobreviventes à idade exata X = 0 foi igual a 100.000, julgue o item subseqüente.
Provas
Questão presente nas seguintes provas
Com respeito ao texto anterior, considerando uma amostragem aleatória simples (X1, Y1), (X2, Y2), ...., (Xn, Yn) para a estimação dos parâmetros da distribuição (λ > 0, φ > 0), em que cada vetor aleatório (Xk, Yk) é identicamente distribuído como (T1, T2), k = 1, 2, ..., n, julgue o item subseqüente.
Um estimador de mínimos quadrados para λ é
Um estimador de mínimos quadrados para λ é

Provas
Questão presente nas seguintes provas

O modelo de crescimento populacional Popt = c / 1 + a1990 + t- b é uma curva de crescimento logístico, em que a, b, e c são os coeficientes do modelo e t representa o ano após 1990 (t = 1, 2, 3, ...). Nesse modelo, o parâmetro a > 0 representa a taxa de crescimento populacional, de modo que quanto maior for o valor de a, maior será a velocidade de crescimento, e b > 0 representa o instante em que a população atinge a metade do ponto de saturação c.
Provas
Questão presente nas seguintes provas

Um projeto do governo tinha como objetivo atrair para o sistema previdenciário uma parcela de trabalhadores que não eram contribuintes do INSS. Na ocasião em que tal projeto havia sido proposto, pelos cálculos do governo, existiam no país 19 milhões de trabalhadores com mais de 16 anos e renda mensal de um ou mais salários mínimos que não contribuíam para a previdência. Esses trabalhadores foram classificados de acordo com três perfis A, B e C, e a distribuição do número de trabalhadores em cada perfil está no quadro acima. A expectativa do governo era a seguinte: entre as pessoas com o perfil A, a probabilidade de entrada para o sistema previdenciário era de 0,8; para as de perfil B, a probabilidade de entrada para o sistema era de 0,5 e os de perfil C entrariam no sistema com uma probabilidade igual a 0,1.
Correio Braziliense, 15/11/2006, p. A-14 (com adaptações).
Considere que xk = 1, se o trabalhador k entra no sistema previdenciário e xk = 0, se o trabalhador k não entra no sistema. Nessa situação, se α = 0,72, então a correlação entre x1 e x2 será superior a 0,4 e inferior a 0,6.
Provas
Questão presente nas seguintes provas
Cientistas italianos estudaram o efeito do veto ao cigarro
em lugares públicos calculando a probabilidade de uma pessoa
sofrer um infarto do miocárdio. De cinco anos antes até o instante
da publicação desse veto, a probabilidade de uma pessoa sofrer
o primeiro infarto do miocárdio era igual a p, em que 0 < p < 0,5.
Esses cientistas acreditam que, até cinco anos após a publicação
desse veto, essa probabilidade foi reduzida para 0,9p.
G. Cesaroni et al. In: Effect of the italian smoking ban on population rates of acute coronary events, Circulation, American Heart Association, fev./2008 (com adaptações).
O desvio-padrão de Xα é igual ao desvio-padrão de Xb.
Provas
Questão presente nas seguintes provas
Considere-se um vetor aleatório transposto xt = (X1, X2, X3) distribuído segundo uma distribuição normal com vetor de médias igual a µt = (– 5, 0, 5) e matriz de covariância
. Com base nessas informações, julgue o item subseqüente.
Considere a matriz aleatória Y = [y1, y2], em que y1 e y2 são vetores aleatórios independentes e com a mesma distribuição de x - µ. Nessa situação, YYt segue uma distribuição de Wishart com 2 graus de liberdade.
. Com base nessas informações, julgue o item subseqüente. Considere a matriz aleatória Y = [y1, y2], em que y1 e y2 são vetores aleatórios independentes e com a mesma distribuição de x - µ. Nessa situação, YYt segue uma distribuição de Wishart com 2 graus de liberdade.
Provas
Questão presente nas seguintes provas
Para a realização de um estudo, 400 trabalhadores serão selecionados aleatoriamente de uma população de N trabalhadores. De acordo com as informações prestadas, cada trabalhador será classificado como A ou B. Haverá XA pessoas classificadas como A e XB pessoas classificadas como B, de modo que XA + XB = 400. A probabilidade de uma pessoa ser classificada como A é 0 < PA < 1, enquanto a probabilidade de uma pessoa ser classificada como B é 0 < PB < 1. Com base nessas informações, julgue o item subseqüente.
XA e XB são variáveis aleatórias com distribuição hipergeométrica com médias iguais a 400 × PA e 400 × PB , respectivamente.
XA e XB são variáveis aleatórias com distribuição hipergeométrica com médias iguais a 400 × PA e 400 × PB , respectivamente.
Provas
Questão presente nas seguintes provas
Considere-se hipoteticamente que o tempo de contribuição previdenciário (T1) e a idade do trabalhador (T2) sejam variáveis aleatórias conjuntamente distribuídas como
, em que t1 > 0, t2 > 0, exp( ·) representa a função exponencial, λ > 0, e φ > 0 são os parâmetros da distribuição.
Acerca dessa situação hipotética, julgue o item que se segue.
, em que t1 > 0, t2 > 0, exp( ·) representa a função exponencial, λ > 0, e φ > 0 são os parâmetros da distribuição. A distribuição da idade do trabalhador é
,Provas
Questão presente nas seguintes provas
Acerca da comunicação institucional, julgue os itens a seguir.
A comunicação institucional propõe-se a tornar pública a instituição, agregando valores e projetando-a junto ao público desejado, com o intuito direto e específico de vender os produtos e serviços existentes na organização.Provas
Questão presente nas seguintes provas
Cadernos
Caderno Container