Magna Concursos

Foram encontradas 1.192 questões.

Em computação paralela os loops paralelos são muito úteis, permitindo que várias iterações de um loop sejam executadas simultaneamente por diferentes threads, aproveitando assim ao máximo os recursos de processamento disponíveis em sistemas paralelos. Isso é especialmente importante para acelerar o processamento de tarefas computacionais intensivas, dividindo o trabalho entre múltiplos núcleos de processamento.

Neste contexto, assinale a opção que apresenta o argumento utilizado no padrão OpenMP para combinar múltiplos loops em um único, permitindo sua execução em paralelo.
 

Provas

Questão presente nas seguintes provas
3261160 Ano: 2024
Disciplina: Matemática
Banca: FGV
Orgão: INPE

Considere uma função f(x), contínua no intervalo [0, 1], com os seguintes valores de amplitude:

\( f(0) = 1,0; f(0,1) = 1,1; f(0,2) = 1,2; f(0,3) = 1,3; f(0,4) = 1,5; f(0,5) = 1,6; f(0,6) = 1,8; f(0,7) = 2,0; f(0,8) = 2,2; f(0,9) = 2,5; \) e \( f(1) = 2,7. \)

Seja: \( A \) =\( \int_0^1 \) \( f \)(\( x \))\( d \)\( x \)

Assinale a opção que contém a aproximação do valor de A, calculada por meio da utilização da regra dos trapézios repetida, com apenas cinco subintervalos.

 

Provas

Questão presente nas seguintes provas

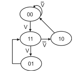
Dois flip-flops D devem implementar a sequência de estados QBQA do diagrama da figura a seguir.

Enunciado 3793771-1

A lógica de menor soma de produtos a ser usada para acionar DB é

 

Provas

Questão presente nas seguintes provas

Assinale a opção que indica o produto de somas que minimiza o mapa acima.

 

Provas

Questão presente nas seguintes provas
Na computação paralela, onde várias tarefas ou processos são executados simultaneamente em diferentes núcleos de processador, a sincronização entre processos é essencial para garantir que essas tarefas cooperem e compartilhem recursos de forma eficiente e correta.

No contexto de um sistema de computação paralela, assinale a opção que apresenta um método de sincronização entre processos que garante que apenas um processo possa acessar uma seção crítica de código por vez.
 

Provas

Questão presente nas seguintes provas
A sincronização entre processos é um conceito fundamental em sistemas operacionais e programação concorrente. Assinale a opção que descreve um mecanismo comum de sincronização entre processos em sistemas operacionais.
 

Provas

Questão presente nas seguintes provas
As threads e os processos são conceitos fundamentais em sistemas operacionais e programação concorrente.

Assinale a opção que descreve uma diferença importante no conceito entre processos e threads, incluindo aspectos de comunicação e sincronização.
 

Provas

Questão presente nas seguintes provas
Para avaliar e medir o desempenho em computação de alto desempenho (HPC), uma variedade de métricas e benchmarks são utilizados para caracterizar diferentes aspectos do sistema. Entre as métricas de HPC, speedup pode ser considerada uma das mais importantes.
No contexto de métricas e análises de desempenho para HPC, assinale a opção que define corretamente speedup.
 

Provas

Questão presente nas seguintes provas
Armazenamento de alta performance pode ser uma exigência quando tratamos de alguns sistemas para Big Data, Inteligência Artificial e Computação de Alto Desempenho (HPC). Esse tipo de armazenamento possui algumas características particulares, que o distingue dos demais tipos de armazenamento.

Diante desse contexto, assinale a opção que apresenta um benefício chave dos sistemas de armazenamento de dados de alta performance.
 

Provas

Questão presente nas seguintes provas
Ao desenvolver códigos profissionais, seguir boas práticas de programação é importante. Seguindo essas práticas, os códigos gerados tendem a ser fáceis de ler, entender e, consequentemente, corrigir e modificar.

Assinale a opção que apresenta uma boa prática de programação.
 

Provas

Questão presente nas seguintes provas