Foram encontradas 1.248 questões.
124258
Ano: 2010
Disciplina: Administração Financeira e Orçamentária
Banca: CESPE / CEBRASPE
Orgão: INMETRO
Disciplina: Administração Financeira e Orçamentária
Banca: CESPE / CEBRASPE
Orgão: INMETRO
Na implementação de políticas e programas públicos, com o objetivo de se obter maior eficiência e impacto nos investimentos governamentais, indicam-se o monitoramento e a avaliação (M&A) da despesa pública. Considerando essas informações e os múltiplos aspectos a elas relacionados, assinale a opção correta.
Provas
Questão presente nas seguintes provas

Provas
Questão presente nas seguintes provas
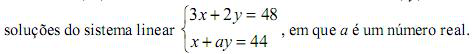
Um técnico é incumbido de examinar alguns lotes de instrumentos de medida. Em cada lote, ele separa os instrumentos descalibrados dos sem defeito. Em determinado lote, ele verifica que o número de instrumentos sem defeito, x, e o número de instrumentos descalibrados, y, são as soluções do sistema linear
,em que a é um número real.
Nessa situação, sabendo-se que o determinante da matriz dos coeficientes desse sistema é igual a 7, é correto afirmar que o número de instrumentos examinados nesse lote foi
,em que a é um número real.Nessa situação, sabendo-se que o determinante da matriz dos coeficientes desse sistema é igual a 7, é correto afirmar que o número de instrumentos examinados nesse lote foi
Provas
Questão presente nas seguintes provas
Uma pesquisa a respeito do crescimento populacional de certa
comunidade constatou que esse crescimento varia segundo a lei
em que e é a base do logaritmo natural, P0 é a
população da comunidade no início da pesquisa e P(t) é a população
t anos depois do início da pesquisa. Tomando 0,693 como valor
aproximado de ln2, é correto afirmar que, 6 anos depois do início da
pesquisa, a população inicial foi multiplicada por
Provas
Questão presente nas seguintes provas
- ÁlgebraÁlgebra LinearDeterminantes
- ÁlgebraÁlgebra LinearMatrizes
- ÁlgebraÁlgebra LinearSistemas lineares
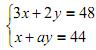
Um técnico é incumbido de examinar alguns lotes de instrumentos de medida. Em cada lote, ele separa os instrumentos descalibrados dos sem defeito. Em determinado lote, ele verifica que o número de instrumentos sem defeito, x, e o número de instrumentos descalibrados, y, são as

Sabendo-se que o determinante da matriz dos coeficientes desse sistema é igual a 7, é correto afirmar que o número de instrumentos examinados nesse lote foi

Sabendo-se que o determinante da matriz dos coeficientes desse sistema é igual a 7, é correto afirmar que o número de instrumentos examinados nesse lote foi
Provas
Questão presente nas seguintes provas
Um quarto tem o formato de um paralelepípedo retângulo com volume de 60 m3 . Sabendo-se que o piso desse quarto tem área de 20 m2 e perímetro de 18 m, é correto afirmar que a soma das 3 dimensões do quarto é igual a
Provas
Questão presente nas seguintes provas
Se uma moeda for lançada 5 vezes, o número de sequências diferentes de cara e coroa que poderão ser obtidas será igual a
Provas
Questão presente nas seguintes provas
Três técnicos executaram a calibração de 54 instrumentos de medição. Os números de instrumentos calibrados por cada um dos técnicos podem ser dispostos em ordem crescente de modo a constituir três termos de uma progressão aritmética. Adicionando-se 3 ao maior termo dessa progressão, ela se transforma em uma progressão geométrica.
Acerca dessa situação, assinale a opção correta.
Acerca dessa situação, assinale a opção correta.
Provas
Questão presente nas seguintes provas
Cláudio e Sérgio são candidatos a ocupar uma vaga em uma empresa privada. Sabe-se que a probabilidade de Cláudio ser contratado é 9/20 , que a probabilidade de Sérgio ser contratado é 8/15 e que a probabilidade de nenhum dos dois ser contratado é 13/ 60.
A respeito dessa situação hipotética, assinale a opção correta.
A respeito dessa situação hipotética, assinale a opção correta.
Provas
Questão presente nas seguintes provas
Uma pesquisa a respeito do crescimento populacional de certa comunidade constatou que esse crescimento varia segundo a lei P(t) = P0 e0,1155t , em que e é a base do logaritmo natural, P0 é a população da comunidade no início da pesquisa e P(t) é a população t anos depois do início da pesquisa.
Nessa situação, tomando 0,693 como valor aproximado de ln2, é correto afirmar que, 6 anos depois do início da pesquisa, a população inicial foi multiplicada por
Nessa situação, tomando 0,693 como valor aproximado de ln2, é correto afirmar que, 6 anos depois do início da pesquisa, a população inicial foi multiplicada por
Provas
Questão presente nas seguintes provas
Cadernos
Caderno Container