Foram encontradas 100 questões.
De acordo com o PMBOK, a definição de um projeto contempla um:
Provas
Questão presente nas seguintes provas
O resultado da execução do seguinte comando: tar cvf pasta.tar arquivo1.txt arquivo2.txt é o(uma):
Provas
Questão presente nas seguintes provas
Considere as seguintes afirmações abaixo a respeito de Active Directory e Windows 2003 Server.
I Quando o Windows 2003 Server estiver configurado para trabalhar com um Workgroup, cada servidor manterá uma lista separada para contas de usuários, grupos e políticas de segurança.
II Estações de trabalho com o Windows XP Home podem ser configuradas para fazer parte de um domínio.
III Os Member Servers possuem a capacidade de autenticação de clientes do domínio.
IV O Active Directory se baseia no DNS para realizar o serviço de resolução de nomes.
Com relação às assertivas acima, é CORRETO afirmar que:
Provas
Questão presente nas seguintes provas
Sobre a plataforma Java, NÃO É CORRETO afirmar:
Provas
Questão presente nas seguintes provas
MAIS ATIVOS, MAIS ESPERTOS
Novas pesquisas sugerem que a prática regular de
exercícios estimula a multiplicação de neurônios e
favorece a aprendizagem
O cérebro de quem pratica atividade física regularmente funciona melhor. Os atletas e os profissionais de educação física dizem isso há muito tempo. Pela primeira vez, porém, os cientistas conseguiram reunir um conjunto de evidências para sustentar a afirmação que antes parecia ser apenas um recurso para manter os alunos estimulados. Com a ajuda de imagens de ressonância magnética, os pesquisadores conseguiram determinar o que acontece no cérebro de quem malha. Concluíram que fazer exercício uma hora por dia, pelo menos três vezes por semana, estimula a produção de neurônios e favorece a aprendizagem. Em outras palavras: quem se exercita fica mais esperto.
Cientistas da Universidade Colúmbia e do Instituto de Pesquisas Salk, nos Estados Unidos, submeteram um grupo de voluntários a essa rotina de malhação durante três meses. Concluíram que a prática dobrou o fluxo de sangue no cérebro e provocou o nascimento de novas células no hipocampo, a área relacionada com a memória e com a capacidade de aprendizagem.
Para investigar esse fenômeno, os pesquisadores da Universidade Estadual de Campinas decidiram analisar a cabeça dos judocas profissionais. O cérebro deles foi comparado com o de indivíduos sedentários pelo educador físico Wantuir Jancini, sob a orientação do neurologista Li Li Min. Imagens de ressonância magnética revelaram que os atletas possuíam maior quantidade de massa cinzenta em áreas ligadas ao desenvolvimento motor e à concentração.
(Revista Época, 5/11/2002, p. 128)
Seguem a mesma regra de acentuação das palavras neurônio, três e prática:
Provas
Questão presente nas seguintes provas
TEXTO 1
A libertação se efetiva na prática histórica
Toda colonização - seja antiga, pela invasão dos territórios, seja a moderna, pela integração forçada no mercado mundial - significa sempre um ato de grandíssima violência. Implica o bloqueio do desenvolvimento autônomo de um povo. Representa a submissão de parcelas importantes da cultura, com sua memória, seus valores, suas instituições, sua religião, à outra cultura invasora. Os colonizados de ontem e de hoje são obrigados a assumir formas políticas, hábitos culturais, estilos de comunicação, gêneros de música e modos de produção e de consumo dos colonizadores. Atualmente se verifica uma poderosa “hamburguerização” da cultura culinária e uma “rockiquização” dos estilos musicais. Os que detêm o monopólio do ter, do poder e do saber, controlam os mercados e decidem sobre o que se deve produzir, consumir e exportar. Numa palavra, os colonizados são impedidos de fazer suas próprias escolhas, de tomar as decisões que constroem a sua própria história.
Tal processo é profundamente humilhante para um povo. Produz sofrimentos dilaceradores. A médio e a longo prazo não há razões, quaisquer que sejam, que consigam justificar e tornar aceitável tal sofrimento. Aos poucos ele se torna simplesmente insuportável. Dá origem a um antipoder. Os oprimidos começam a “extrojetar” o opressor que forçosamente hospedam dentro de si. É o tempo maduro para o processo de libertação. Primeiro na mente. Depois na organização. Por fim, na prática.
Libertação significa a ação que liberta a liberdade cativa. É só pela libertação que os oprimidos resgatam a autoestima. Refazem a identidade negada. Reconquistam a pátria dominada. E podem construir uma história autônoma, associada à história de outros povos livres.
BOFF, Leonardo. A águia e a galinha - uma metáfora da condição
humana. Petrópolis, RJ: Vozes, 1997.
TEXTO 2
Pobre menina pobre, colonizaram até seus sonhos
Nos meados do último dezembro, recebi pelo correio uma cartinha dirigida ao Papai Noel. Ela vinha de uma escola municipal de Porto Alegre, enviada por uma menina de 8 anos. No centro de uma folha de papel com dados de identificação e desenhos natalinos, a garota desenhara um grande coração vermelho, dentro do qual escrevera “Papai Noel”.
Acima dele estava escrito o pedido que a carta levava: “Papai Noel, gostaria de ganhar um par de tênis das Meninas Superpoderosas, ou uma Barbie verdadeira, ou uma mochila de rodinhas da Barbie”.
(...)
As grandes corporações empresariais e seus personagens tomaram conta do circuito cultural da infância e da juventude. Parece que um avassalador tsunami arrebatou todas as figuras autóctones das culturas populares locais, substituindo-as pelos novos heróis - alienígenas híbridos disseminados pelo império midiático globalizado. (...) A grande maioria de cartas de crianças ao bom velhinho pedia os mesmos presentes: certas marcas de tênis, as tais mochilas de rodinhas com personagens da mídia, telefones celulares, Barbies e jogos eletrônicos.
(...)
O polêmico livro Império, de Hardt e Negri, trata das alterações por que passam as ideias de nação, povo e soberania, em face das novas tecnologias, da evolução da sociedade e do poder transnacional das grandes corporações. Segundo eles, essa nova forma de supremacia, caracterizadas por permutas econômicas e culturais globais, instaura um império sem centro e sem limites fixos, que incorpora gradativamente o mundo inteiro.
(...)
Precisamos saber mais sobre tudo isso (...) Sobretudo, precisamos saber mais para nos alinharmos a um movimento potencialmente amplo que, segundo Klein (2004), toma corpo no mundo na forma de resistência popular, localmente organizada, mas mundialmente orientada contra o poder corporativo sem fronteiras que se abate sobre nossas vidas e já ameaça se apoderar de nossas almas.
COSTA, Marisa Vorraber (org). A educação na cultura da mídia e do consumo.
Rio de Janeiro: Lamparina, 2009.
De acordo com os dois textos, só NÃO é possível afirmar que:
Provas
Questão presente nas seguintes provas
TEXTO 1
A libertação se efetiva na prática histórica
Toda colonização - seja antiga, pela invasão dos territórios, seja a moderna, pela integração forçada no mercado mundial - significa sempre um ato de grandíssima violência. Implica o bloqueio do desenvolvimento autônomo de um povo. Representa a submissão de parcelas importantes da cultura, com sua memória, seus valores, suas instituições, sua religião, à outra cultura invasora. Os colonizados de ontem e de hoje são obrigados a assumir formas políticas, hábitos culturais, estilos de comunicação, gêneros de música e modos de produção e de consumo dos colonizadores. Atualmente se verifica uma poderosa “hamburguerização” da cultura culinária e uma “rockiquização” dos estilos musicais. Os que detêm o monopólio do ter, do poder e do saber, controlam os mercados e decidem sobre o que se deve produzir, consumir e exportar. Numa palavra, os colonizados são impedidos de fazer suas próprias escolhas, de tomar as decisões que constroem a sua própria história.
Tal processo é profundamente humilhante para um povo. Produz sofrimentos dilaceradores. A médio e a longo prazo não há razões, quaisquer que sejam, que consigam justificar e tornar aceitável tal sofrimento. Aos poucos ele se torna simplesmente insuportável. Dá origem a um antipoder. Os oprimidos começam a “extrojetar” o opressor que forçosamente hospedam dentro de si. É o tempo maduro para o processo de libertação. Primeiro na mente. Depois na organização. Por fim, na prática.
Libertação significa a ação que liberta a liberdade cativa. É só pela libertação que os oprimidos resgatam a autoestima. Refazem a identidade negada. Reconquistam a pátria dominada. E podem construir uma história autônoma, associada à história de outros povos livres.
BOFF, Leonardo. A águia e a galinha - uma metáfora da condição
humana. Petrópolis, RJ: Vozes, 1997.
TEXTO 2
Pobre menina pobre, colonizaram até seus sonhos
Nos meados do último dezembro, recebi pelo correio uma cartinha dirigida ao Papai Noel. Ela vinha de uma escola municipal de Porto Alegre, enviada por uma menina de 8 anos. No centro de uma folha de papel com dados de identificação e desenhos natalinos, a garota desenhara um grande coração vermelho, dentro do qual escrevera “Papai Noel”.
Acima dele estava escrito o pedido que a carta levava: “Papai Noel, gostaria de ganhar um par de tênis das Meninas Superpoderosas, ou uma Barbie verdadeira, ou uma mochila de rodinhas da Barbie”.
(...)
As grandes corporações empresariais e seus personagens tomaram conta do circuito cultural da infância e da juventude. Parece que um avassalador tsunami arrebatou todas as figuras autóctones das culturas populares locais, substituindo-as pelos novos heróis - alienígenas híbridos disseminados pelo império midiático globalizado. (...) A grande maioria de cartas de crianças ao bom velhinho pedia os mesmos presentes: certas marcas de tênis, as tais mochilas de rodinhas com personagens da mídia, telefones celulares, Barbies e jogos eletrônicos.
(...)
O polêmico livro Império, de Hardt e Negri, trata das alterações por que passam as ideias de nação, povo e soberania, em face das novas tecnologias, da evolução da sociedade e do poder transnacional das grandes corporações. Segundo eles, essa nova forma de supremacia, caracterizadas por permutas econômicas e culturais globais, instaura um império sem centro e sem limites fixos, que incorpora gradativamente o mundo inteiro.
(...)
Precisamos saber mais sobre tudo isso (...) Sobretudo, precisamos saber mais para nos alinharmos a um movimento potencialmente amplo que, segundo Klein (2004), toma corpo no mundo na forma de resistência popular, localmente organizada, mas mundialmente orientada contra o poder corporativo sem fronteiras que se abate sobre nossas vidas e já ameaça se apoderar de nossas almas.
COSTA, Marisa Vorraber (org). A educação na cultura da mídia e do consumo.
Rio de Janeiro: Lamparina, 2009.
As palavras violência e monopólio recebem acento gráfico pela mesma razão de:
Provas
Questão presente nas seguintes provas
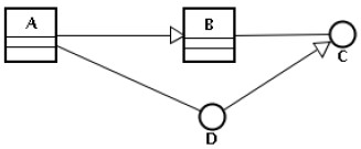
A alternativa que melhor corresponde à implementação do diagrama de classes abaixo é:

Provas
Questão presente nas seguintes provas
O laboratório de informática do IFPI utiliza Windows XP e por questão de segurança precisa ocultar a partição C: . O comando utilizado para tal tarefa é:
Provas
Questão presente nas seguintes provas
Sobre o ambiente de desenvolvimento Delphi 2010, é CORRETO afirmar:
Provas
Questão presente nas seguintes provas
Cadernos
Caderno Container