Magna Concursos

Foram encontradas 515 questões.

3618881 Ano: 2025
Disciplina: Engenharia de Alimentos
Banca: FUNDATEC
Orgão: IFFar

As reações de oxidação em lipídios estão entre as mais frequentes em alimentos. Sobre essas reações, assinale a alternativa INCORRETA.

 

Provas

Questão presente nas seguintes provas
3618880 Ano: 2025
Disciplina: Física
Banca: FUNDATEC
Orgão: IFFar
Provas:

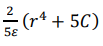
Um cilindro maciço, de raio \( R \), feito de material não condutor e infinitamente longo, apresenta uma distribuição de densidade de carga definida como p=\( \dfrac{^{r2+C}}{r\sqrt{r}} \) onde \( C \) é uma constante. Considere a constante de permissividade do meio como sendo \( \varepsilon \). O campo elétrico na região em que

 

Provas

Questão presente nas seguintes provas
3618879 Ano: 2025
Disciplina: Veterinária
Banca: FUNDATEC
Orgão: IFFar
Provas:

Sobre o processamento tecnológico do leite pasteurizado, analise as asserções a seguir e a relação proposta entre elas:

I. A finalidade do preaquecimento é aumentar a viscosidade do leite, o que irá facilitar a clarificação com temperatura atingida entre 40°C e 45°C.

PORQUE

II. A clarificação é realizada por centrifugação, que visa retirar bactérias e células somáticas do leite, melhorando suas qualidades e aspectos para o processo.

A respeito dessas asserções, assinale a alternativa correta.

 

Provas

Questão presente nas seguintes provas
3618878 Ano: 2025
Disciplina: Engenharia de Alimentos
Banca: FUNDATEC
Orgão: IFFar

Na produção do pão de trigo, segundo Brandão e Lira (2011), a água é responsável pela distribuição uniforme dos ingredientes da massa. São funções da água nesse processo, EXCETO:

 

Provas

Questão presente nas seguintes provas
3618877 Ano: 2025
Disciplina: Veterinária
Banca: FUNDATEC
Orgão: IFFar
Provas:

Relacione a Coluna 1 à Coluna 2, associando as plantas tóxicas de interesse pecuário aos respectivos tipos de lesões causadas por elas.

Coluna 1

1. Ammi majus (bisnaguinha-do-campo).

2. Lantana camara (camará).

3. Ipomoea fistulosa (algodão-bravo).

4. Senna occidentalis (fedegoso).

5. Solanum malacoxylon (espichadeira).

Coluna 2

( ) Perturbação nervosa.

( ) Calcificação sistêmica.

( ) Fotossensibilização secundária.

( ) Fotossensibilização primária.

( ) Degeneração muscular.

A ordem correta de preenchimento dos parênteses, de cima para baixo, é:

 

Provas

Questão presente nas seguintes provas
3618876 Ano: 2025
Disciplina: Engenharia de Alimentos
Banca: FUNDATEC
Orgão: IFFar

Segundo Cecchi (2003), materiais que, teoricamente, não são digeríveis pelos organismos humano e animal e são insolúveis em ácido e base diluídos em condições específicas, são denominados de _____________. Entre esses materiais estão a celulose, a lignina e pentosanas, que são responsáveis pela estrutura celular das plantas. Não possui valor nutritivo, mas fornece a ferramenta necessária para os movimentos peristálticos do intestino.

Assinale a alternativa que preenche corretamente a lacuna do trecho acima.

 

Provas

Questão presente nas seguintes provas

Essa tecnologia pode também ser definida como uma duplicata eficiente e isolada de uma máquina real. Os recursos de processamento, memória e outros são virtualizados. A diferença entre ela e um servidor físico não pode ser notada por um sistema operacional, muito menos por aplicações ou outros computadores na rede. É constituída por software e não contém componentes de hardware, assim oferece a vantagem da flexibilidade em comparação com o hardware físico. O trecho refere-se ao(à):

 

Provas

Questão presente nas seguintes provas
3618874 Ano: 2025
Disciplina: Engenharia de Alimentos
Banca: FUNDATEC
Orgão: IFFar

Os sistemas de fermentação dos produtos de forno são: fermentação física, química e biológica. Este último sistema utiliza o fermento como ingrediente e é muito utilizado em panificações e confeitarias, sendo responsável por deixar o pão macio, com sabor e odor agradável e fazer com que os bolos cresçam. Sobre o assunto, assinale a alternativa correta.

 

Provas

Questão presente nas seguintes provas
3618873 Ano: 2025
Disciplina: Veterinária
Banca: FUNDATEC
Orgão: IFFar
Provas:

A epidemiologia possui cinco grandes objetivos. Sobre esses objetivos, analise as assertivas a seguir:

I. Um dos objetivos da epidemiologia é a determinação da origem de uma doença cuja causa é conhecida.

II. A aquisição de informações sobre a ecologia e a história natural de uma doença compreende um dos objetivos da epidemiologia.

III. A epidemiologia não tem o objetivo de investigar e controlar uma doença cuja causa é desconhecida ou mal compreendida.

IV. Dentro dos objetivos da epidemiologia, a avaliação dos efeitos econômicos e outros efeitos sociais de uma doença não está contemplada.

Quais estão corretas?

 

Provas

Questão presente nas seguintes provas
3618872 Ano: 2025
Disciplina: Veterinária
Banca: FUNDATEC
Orgão: IFFar
Provas:

Giardíase é uma infecção intestinal causada pelo ____________ Giardia duodenalis (sinônimos Giardia lamblia e Giardia intestinalis). Ela está associada à diarreia transmitida pela água e ________, surtos em creches e diarreia do viajante. A giárdia é comumente transmitida pela ingestão de ___________ infecciosos eliminados nas fezes humanas ou animais.

Assinale a alternativa que preenche, correta e respectivamente, as lacunas do trecho acima.

 

Provas

Questão presente nas seguintes provas