Foram encontradas 1.765 questões.
De acordo com o Diagrama de Nyquist de um sistema em Malha Aberta, mostrado a seguir, conclua sobre a sua estabilidade em Malha Fechada.

Provas
Provas
O circuito da figura a seguir apresenta um voltímetro analógico, no qual a medida lida no amperímetro é diretamente proporcional à tensão de entrada Vi. A resistência R2 corresponde à resistência do medidor e R1 corresponde à resistência da fonte de tensão da entrada. Considerando o amp. op. ideal, calcule o valor de R de tal forma que 1 mA lido corresponda a uma entrada Vi = 10 V.

Provas

Um sistema de controle é constituído de uma planta, cujo modelo em malha aberta apresenta 3 polos reais e nenhum zero finito. Fechando-se a malha com realimentação de saída e variando o ganho de malha (K) positivamente de zero a infinito, os polos se deslocam seguindo as trajetórias mostradas no lugar das raízes da figura acima.
Dois dos polos de malha fechada seguem trajetórias assintóticas no plano complexo, ou seja, tendem para o infinito seguindo retas inclinadas em relação ao eixo real, como pode ser visto no lugar geométrico das raízes apresentado.
O ângulo de inclinação da reta pontilhada é
Provas
Dados os Diagramas de Bode de um sistema de primeira ordem em Malha Aberta, determine
os valores de K e
da equação mostrada abaixo.

Os valores de K e
são:
Provas
Analise o circuito abaixo e defina os valores de saída preenchendo a tabela.

Assinale a alternativa que contém a sequência correta de valores da saída da tabela, da primeira linha para a última.
Provas
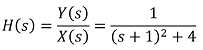
Considere a seguinte função de transferência:

Considerando-se x(t)=u(t), determine, a partir de y(t), a resposta do sistema em estado estacionário.
Provas
No circuito driver para motor DC apresentado na figura a seguir, determine:
- Os valores de R1 e R2 para que Vi = 0.5 V resulte em Vo = 12 V;
- O menor ganho de corrente dos transistores necessário para que o amplificador operacional funcione com correntes de saída menores do que 5mA.

Provas
O transistor do circuito da figura a seguir é de silício, possui um ganho β = 100 e está polarizado na região ativa. Determine RE, Rb e RC sabendo que VCC = 20V, VCE = 3V, IB = 40µA e RC = 4RE .

Provas
A função de transferência de malha fechada de um sistema de controle é dada por

Este sistema possui, respectivamente, quantos polos e zeros finitos?
Provas
Caderno Container