Foram encontradas 50 questões.
- Modelo TCP/IPIntrodução ao Modelo TCP/IP
- Modelo TCP/IPModelo TCP/IP: Camada de Rede
- Modelo TCP/IPModelo TCP/IP: Camada de Transporte
- Transmissão de DadosComutação de Células, Circuitos e Pacotes
Considerando-se a Arquitetura TCP/IP (Internet), associe as colunas abaixo.
I) Serviço não orientado à conexão.
II) Comutação de Circuitos.
III) Protocolo.
IV) Serviço orientado à conexão.
V) Comutação de pacotes.
VI) Camada.
( ) Compartilha os recursos do canal de
comunicação por demanda das entidades de rede
comunicantes;
( ) Unidade funcional que divide uma pilha de
protocolos;
( ) Promove a troca de informações mútuas de
apresentação entre as entidades comunicantes,
antes que os dados propriamente ditos sejam
enviados;
( ) Compartilha a capacidade do canal de
comunicação alocando previamente a utilização
do enlace de transmissão independentemente da
demanda;
( ) Conjunto de regras que controla o formato e o
significado das mensagens que são trocadas entre
camadas parceiras;
( ) Promove a troca de dados entre as entidades
comunicantes sem nenhuma apresentação prévia;
Assinale a alternativa que contém a sequência CORRETA, de cima para baixo na segunda coluna.
Provas
Questão presente nas seguintes provas
- Modelo TCP/IPModelo TCP/IP: Camada de Transporte
- TCP/IPTCP: Transmission Control Protocol
- TCP/IPUDP: User Datagram Protocol
Considerando-se a sobrecamada de transporte da Internet, e de acordo com o modelo em
camadas da arquitetura de rede TCP/IP, marque (V) para as afirmativas VERDADEIRAS e (F)
para as FALSAS.
( ) A camada de transporte fornece protocolos implementados apenas nos sistemas finais,
hospedeiros.
( ) O serviço orientado à conexão da camada de transporte é a escolha preferencial das
aplicações multimídias.
( ) A camada de transporte garante a entrega de pacotes na ordem em que eles foram enviados.
( ) A camada de transporte é capaz de evitar que uma comunicação orientada à conexão
congestione o tráfego entre sistemas finais comunicantes.
( ) A camada de transporte oferece o serviço de circuito virtual entre os sistemas finais.
( ) A camada de transporte fornece comunicação lógica entre processos residindo em
hospedeiros distintos.
Assinale a alternativa que contém a sequência CORRETA de cima para baixo.
Provas
Questão presente nas seguintes provas
No que concerne aos níveis e modalidades de educação e ensino, previstos na Lei nº 9394/96,
pode-se afirmar que:
Provas
Questão presente nas seguintes provas
- Arquitetura e Design de SoftwareArquitetura de Sistemas de Informação
- Arquitetura e Design de SoftwareArquitetura em Camadas
- Arquitetura e Design de SoftwarePadrões de Arquitetura
Assinale as Alternativas VERDADEIRAS com (V) e as alternativas FALSAS com (F)
relativas a Arquitetura de Software.
( ) Os Modelos de Arquiteturas de Software são um facilitador para a comunicação entre
todas as partes interessadas no desenvolvimento de um Sistema Computacional.
( ) A Arquitetura de um sistema de software é definida pelas propriedades internas de
seus componentes e pelos estados internos que estes componentes podem atingir durante a
execuação do mesmo.
( ) É o software operacional sendo mostrado nos seus detalhes sintáticos e semânticos
representativos de seu comportamento interno.
( ) As propriedades de seus componentes são as suas características capazes de descrever
como os componentes interagem com outros componentes.
( ) Os modelos tubos e filtros, orientado a objetos e arquitetura em camadas são exemplos de
estilos arquiteturais.
Assinale a alternativa que contem a sequência de marcação CORRETA dos itens acima, de
cima para baixo.
Provas
Questão presente nas seguintes provas
Assinale a alternativa correspondente ao resultado da execução do método main do programa Java apresentado abaixo:

Provas
Questão presente nas seguintes provas
- Fundamentos de ProgramaçãoAlgoritmosAlgoritmos de Busca
- Fundamentos de ProgramaçãoAnálise Assintótica (Notação Big-O)
- Fundamentos de ProgramaçãoComplexidade
Leia as afirmativas a seguir a respeito das principais classes de comportamento assintótico.
I) A complexidade logarítmica é típica de algoritmos que resolvem problemas, transformando-os
em problemas menores e depois agrupando as soluções dos problemas menores.
II) A complexidade quadrática é típica de algoritmos onde os dados são processados ao pares
muitas vezes com um anel dentro de outro.
III) Um algoritmo com complexidade exponencial é mais rápido que um algoritmo linear.
IV) Um algoritmo com complexidade n! (n fatorial) apresenta um comportamento pior que um
algoritmo com complexidade 2n
.
V) A complexidade do algoritmo de pesquisa binária é logarítmica.
Assinale a alternativa que apresenta somente as afirmativas CORRETAS.
Provas
Questão presente nas seguintes provas
Leia as afirmativas a seguir sobre regras práticas para se criar um modelo de análise:
I) O modelo de análise deve priorizar as necessidades visíveis do domínio do problema ou do
negócio e o nível de abstração desse modelo deve ser baixo.
II) Cada elemento do modelo de análise deve contribuir para entendimento geral dos requisitos de
software e fornecer uma visão do domínio de informação, função e comportamento do sistema.
III) O modelo de análise deve incluir considerações sobre modelos não funcionais e arquiteturais.
IV) Deve-se minimizar o acoplamento do sistema representado pelas relações entre classes e
funções do mesmo.
V) Deve-se criar vários modelos para atender aos diferentes perfis das partes interessadas, pois
validação de requisitos, testes de aceitação e projeto devem ser baseados em modelos diferentes.
Assinale a alternativa que apresenta todas as afirmativas acima que estão CORRETAS.
Provas
Questão presente nas seguintes provas
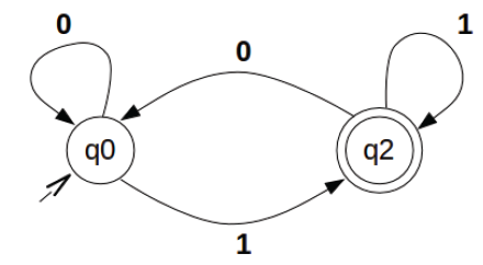
Leia os itens contendo as expressões regulares que poderão ser associadas ao autômato da figura, conforme aquilo que a bibliografia adotada descreve sobre autômatos finitos e expressões regulares.

I) A expressão regular 0*1(1+00*1)* representa o automato da figura.
II) A expressão regular 0*1*1+11*0*1 representa o automato da figura.
III) A expressão regular (0+1)*1 representa o automato da figura.
Assinale somente a alternativa que apresenta todas as afirmativas CORRETAS.
Provas
Questão presente nas seguintes provas
- UX/UIEngenharia de Usabilidade
- UX/UIExperiência do Usuário (UX)
- UX/UIInteração Humano-Computador
- UX/UIProjeto de Interface de Usuário
No projeto de interface com o usuário são considerados 4 modelos ou visões. São eles:
Provas
Questão presente nas seguintes provas
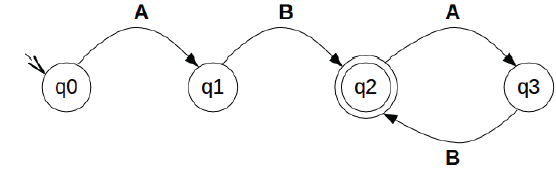
Considerando-se a definição autômatos finitos, assinale a única alternativa que contém
somente cadeias de caracteres totalmente aceitas pelo autômato finito da figura.


Provas
Questão presente nas seguintes provas
Cadernos
Caderno Container