Foram encontradas 269 questões.
Provas
O resultado de
é dado por:
Provas
Considere a seguinte matriz, sendo µ um número real:

O determinante da matriz A é:
Provas
Provas
As afirmativas abaixo se referem aos conceitos de Geometria Analítica Plana:
I. Para que os pontos A(2,4), B(x, -3) e C(1, −2) sejam vértices de um triângulo, o valor de x deverá ser x ≠ 6/5 .
II. A medida da altura de um triângulo equilátero
ABC cuja base BC está apoiada sobre a reta
, sendo A(2, −4), é 3,8 u.c.
III. A circunferência de equação x2 + y2 − 8x + 6y + 9 = 0 passa pelos pontos P(4, 1) e Q(8, −3) e possui raio igual a 16 u.c.
IV. As circunferências de equações x2 + y2 = 32 e x2 + y2 + 8y = 0 são secantes, pois possuem dois pontos em comum.
Assinale a alternativa em que toda(s) a(s) afirmativa(s) está(ão) CORRETA(S):
Provas
A equação diferencial da forma y' + P(x)y =
Q(x)yn em y = y(x), onde P(x) e Q(x) são funções
contínuas em um intervalo (a,b) e n ∈ ℤ, é
conhecida como a equação de Bernoulli. Se n ≠ 0 e n ≠ 1 podemos transformar a equação de
Bernoulli em uma equação diferencial linear
mediante uma mudança da variável dependente
z = y1/P. Considere a seguinte equação de
Bernoulli
Após trocarmos a
variável dependente por meio da relação z = y1/P obtemos, para um valor de p apropriado, uma
equação diferencial linear em z que tem solução
geral expressa por:
Provas
Provas
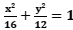
Dada a equação
que representa
uma curva no plano cartesiano, podemos afirmar
que esta curva e as equações das retas tangentes
a esta curva nos pontos de abscissa x = 2 são,
respectivamente:
Provas
As afirmativas abaixo envolvem os conceitos da Trigonometria no que se referem à relação entre lados e ângulos de um triângulo, relações trigonométricas e a variação dos arcos no ciclo trigonométrico.
I. Em um triângulo ABC são conhecidas as
medidas dos lados
= 45 cm,
= 40 cm e
= 34 cm. Nessas condições o ângulo
deve ser agudo.
II. No triângulo DEF o lado
= 180 cm e o
ângulo Ê = 135°. Se o ângulo
= 30° então
é aproximadamente 127cm.
III. A relação sec x − cos x = sen x . tan x não é uma identidade trigonométrica.
IV. Quando os arcos do ciclo trigonométrico variam entre 270° até 360°.
Os valores da função secante são decrescentes. Assinale a alternativa em que todas as afirmativas estão CORRETAS:
Provas
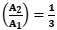
A figura abaixo possui um cone interno ao
prisma hexagonal inscrito no cilindro de raio r. A
razão entre a área da base do cone A2 e a área da
base do cilindro A1 é
. Nessas condições,
calcule a diferença entre o volume de ar contido
no prisma hexagonal (externo ao cone) e o
volume de ar contido no cilindro (externo ao
prisma hexagonal) sabendo que a altura dos
sólidos é 4r. E, assinale a alternativa CORRETA:

Provas
Caderno Container