Foram encontradas 600 questões.
- Química InorgânicaSoluções e Substâncias InorgânicasSubstâncias Inorgânicas: dissociação iônica e ionização, conceitos de ácido-base
- Química OrgânicaPropriedades Químicas dos Compostos Orgânicos
Provas
Provas
- Química CinéticaRepresentação das Transformações Químicas
- Química InorgânicaSoluções e Substâncias InorgânicasSoluções: características, tipos de concentração, diluição, mistura, titulação e soluções coloidais
Considerando-se que as massas molares em g.mol-1 são S=32, H= 1 e O= 16, a massa de H2SO4 presente em 500 mL de solução é de, aproximadamente,
Provas
- FundamentosPropriedades das Substâncias
- Química InorgânicaGeometria Molecular, Polaridade e Forças Intermoleculares
Considerando as espécies químicas H+ , Cu+ , Mg2+, BF3, Au+ , NH4+ , BH3, F- , NH3, I- e C6H6, responda a questão.
Sobre as espécies apresentadas não se pode afirmar que
Provas
- Química OrgânicaCadeias Carbônicas
- Química OrgânicaIsomeria Plana e Espacial
- Química OrgânicaReações OrgânicasReações Orgânicas: Oxidação, Redução e Polimerização
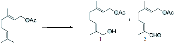
O esquema a seguir mostra a obtenção de compostos alílicos a partir do geraniol.

Sobre os produtos formados é INCORRETO afirmar que
Provas
Provas
Como já se constatou algumas vezes, a pureza dos gêneros literários é apenas ideal e, nas palavras de Rosenfeld (1965, p.7), “toda obra literária de certo gênero conterá, além dos traços estilísticos mais adequados ao gênero em questão, também traços estilísticos mais típicos dos outros gêneros. Não há poema lírico que não apresente ao menos traços narrativos ligeiros e dificilmente se encontrará uma peça em que não haja alguns momentos épicos e líricos.”
Entendido o gênero literário mais como uma questão de predominância que de exclusividade, pode-se dizer que o excerto das peças de Shakespeare em que mais se nota a prevalência do épico sobre o lírico e o dramático é
Provas
O Escritor Machado de Assis (1839/1904) faz parte do Realismo brasileiro, movimento fundamentado por um “novo ideário”, conforme Alfredo Bosi, que assinala, também: “O tema da Abolição e, em segundo tempo, o da República serão o fulcro das opções ideológicas do homem culto brasileiro a partir de 1870.” (BOSI, Alfredo. História concisa da literatura brasileira. São Paulo: Cultrix, 2006).
Assinale o que for correto com relação à obra de Machado de Assis e ao que Bosi assinalou.
Provas
Provas
Provas
Caderno Container