Foram encontradas 490 questões.
Assinale a alternativa correta sobre as características das redes industriais.
Provas
Entre os principais sensores de temperatura, destacam-se os termopares e as termorresistências. Sobre eles, é correto afirmar que:
Provas
Observe o sistema com duas caixas d’água e um CLP ilustrado a seguir.

Um projetista fez um programa utilizando a linguagem Ladder para automatizar o processo de acionamento da bomba d’água B. Os sensores S1, S2, S3 e S4 são ativados quando entram em contato com a água. Sendo assim, (1) caso o nível de água da caixa auxiliar esteja em S3 ou acima, e o nível de água da caixa principal esteja abaixo de S1, deve-se acionar a bomba B, e (2) caso o nível de água da caixa auxiliar esteja entre S3 e S4, deve-se acionar a bomba B apenas quando o nível de água ficar abaixo de S2 e desligar apenas quando atingir o nível de água atingir S1, e, por fim, (3) caso o nível de água da caixa auxiliar esteja abaixo de S4, deve-se manter a bomba B desligada.
Diante do exposto, assinale a alternativa que ilustra o Programa Ladder que soluciona esse caso.
Provas
Ao observar o esquema elétrico de ligação do CLP e o programa em LADDER, considerando I1, I2, I3, como entradas digitais e O1, O2, as saídas a relé do CLP, pode-se afirmar que:

Provas
Assinale a afirmativa correta quanto ao funcionamento do circuito representado na figura a seguir:

Provas
Considere a representação de um sistema linear pela equação diferencial a seguir, sendo !$ x !$!$ O !$ a saída do sistema e !$ x !$!$ i !$ sua entrada.
!$ m !$. !$ \dot{x} !$!$ O !$ + !$ b !$. (!$ \dot{x} !$!$ O !$ − !$ \dot{x} !$ !$ i !$ ) + !$ k !$. (!$ x !$!$ O !$ − !$ x !$!$ i !$ ) = !$ O !$
Sabendo que as condições iniciais do sistema são nulas, é INCORRETO afirmar que:
Provas
Assinale a alternativa que representa a frequência mínima de amostragem para um conversor analógicodigital, segundo o teorema de Nyquist.
Provas
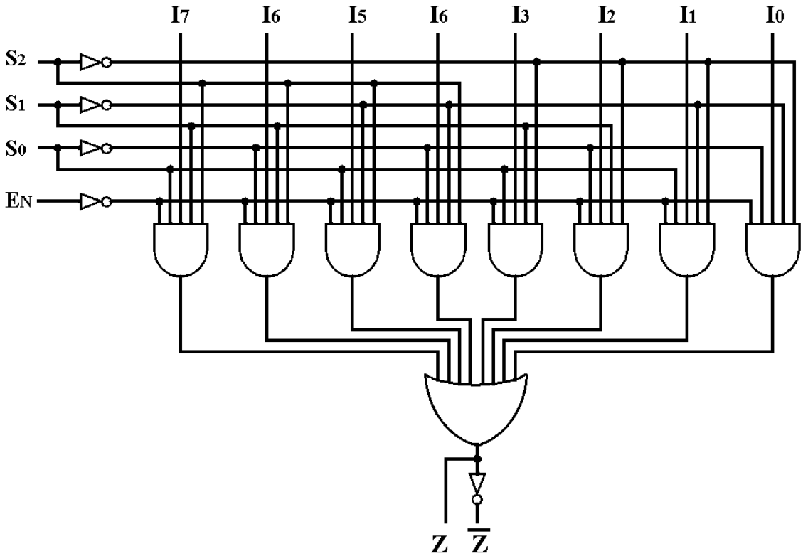
Analise o circuito digital a seguir, que tem como saídas os terminais !$ Z !$ !$ e !$ !$ \bar Z !$ , e assinale a alternativa que corresponda à sua definição.

Provas
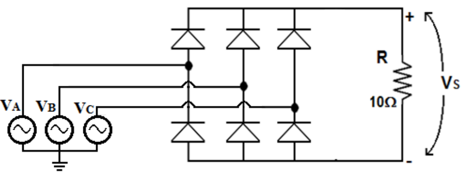
A figura a seguir representa o retificador trifásico de ponte completa, também, conhecido como ponte de “Graetz”, com carga resistiva e ligado a uma tensão de entrada trifásica de 127V/220V.
Considerando essas informações, determine, respectivamente, o valor da tensão média sobre o resistor de carga e a tensão reversa máxima sobre um diodo da ponte retificadora.

Provas
Considerando o circuito representado na figura a seguir, assinale a alternativa correta.

Provas
Caderno Container