Foram encontradas 50 questões.
Para proteger sistemas online de ataques automatizados, como spam e ataques de força bruta, existem mecanismos de detecção de fraudes chamados Captchas que conseguem distinguir seres humanos de máquinas. É possível avaliar a eficácia do sistema de segurança analisando a probabilidade de sucesso de um algoritmo em quebrar Captchas. Nesse contexto, considere o seguinte problema: O coordenador de um programa de pós-graduação de um instituto federal precisa consultar a produção acadêmica dos docentes em uma plataforma governamental que é protegida por um sistema de Captcha. Para tanto ele programou um algorítimo computacional que quebra a Captcha com probabilidade de sucesso \( p \) = 0,75. Sabe-se que para evitar a ação de robôs tal plataforma bloqueia o acesso a partir 4 tentativas fracassadas. Determine a probabilidade desta plataforma bloquear o acesso deste algoritmo.
Provas
Problemas que envolvem a escolha de um determinado número de elementos de um conjunto, sem levar em consideração a ordem em que os elementos são escolhidos são usuais em qualquer curso de matemática básica. Nesse sentido, considere que em uma sala de aula existem \( k \) alunos, sendo Pedro um dentre eles. Sorteiam-se, aleatoriamente e sem reposição, \( p \) alunos dessa sala para compor a comissão de formatura da turma. Qual é a probabilidade de Pedro não ser um dos membros da comissão?
Provas
Todo professor deve estar comprometido em desenvolver o pensamento crítico nos alunos. Uma possibilidade é propor problemas que permeiam nosso dia a dia para que os estudantes possam analisar dados, tomar decisões e avaliar informações. Um professor de matemática do Ifes deseja criar um problema envolvendo as áreas de probabilidade e estatística. Ele decidiu focar em cinco conceitos: distribuição uniforme, espaço amostral, evento, probabilidade e geometria. O problema proposto envolve o fato de dois estudantes combinarem de se encontrar em uma biblioteca. Cada um deles chega de forma independente em um instante uniformemente distribuído entre 10 e 11 horas. Eles combinaram que o primeiro que chegasse esperaria no máximo 15 minutos pelo outro. Determine a probabilidade deles se encontrarem.
Provas
É importante que o professor de matemática crie questões que ajudem o estudante a identificar padrões, realizar cálculos simples e aplicar os conceitos da teoria dos números. Nesse sentido, determine o algarismo das unidades do resultado do somatório 42\( k \)+1 + 52\( k \)+1 + 92\( k \) , para qualquer valor natural de \( k \).
Provas
Em um pomar há inicialmente 54 pessegueiros produzindo, cada um, 660 pêssegos por ano. O produtor pretende plantar, neste pomar, n novos pessegueiros. Devido à competição por nutrientes do solo e, consequente aumento na densidade de plantas por área, cada pessegueiro (tanto os novos quanto os velhos) tem sua produção anual reduzida em 10 pêssegos para cada novo pessegueiro plantado no pomar. Determine a produção anual por pessegueiro quando a produção total do pomar for máxima.
Provas
A propriedade f(x.y) = f(x) + f(y) é uma característica marcante das funções logarítmicas, conhecida como propriedade aditiva dos logaritmos. Sabendo que f(2) = k e f(253) = p, determine o valor de f(2024).
Provas
A unidade de medida que indica a quantidade de sacarose dissolvida em uma solução aquosa é chamada Grau Brix (°Bx). O grau Brix é utilizado em diversas indústrias, principalmente nas que envolvem alimentos e bebidas. De forma simples, 1 grau Brix corresponde a 1 grama de sacarose em 100 gramas de solução. Um técnico em agroindústria mensurou a variável grau Brix de certa amostra de n maçãs. Ao fazer isso, obteve estimativas de algumas estatísticas descritivas de posição e de dispersão para esta variável. Ao realizar o teste de calibração no instrumento utilizado, notou que o refratômetro usado apresentou leituras com erro de 2 graus Brix acima da medida padrão, mas ele já havia coletado todas as medidas necessárias antes de efetuar ajuste de calibração. Diante do exposto, julgue as afirmações a seguir completando as lacunas com V, se a sentença for VERDADEIRA, e F, se FALSA.
( ) A estimativa da média obtida pelo técnico apresentou uma diferença de 2 graus BRIX acima da leitura obtida por um refratômetro calibrado e ajustado de acordo com a medida do padrão de referência usado na calibração.
( ) A estimativa da variância obtida foi de 2 graus BRIX acima da leitura obtida por um refratômetro calibrado e ajustado de acordo com a medida do padrão de referência usado na calibração.
( ) A média não se alterou em relação à leitura obtida por um refratômetro calibrado e ajustado de acordo com a medida do padrão de referência usado na calibração.
( ) A variância não se alterou em relação à leitura obtida por um refratômetro calibrado e ajustado de acordo com a medida do padrão de referência usado na calibração.
Assinale a alternativa que contém a sequência CORRETA desse preenchimento.
Provas
Um algoritmo possui tempo de execução T(n) que é representado pela expressão a seguir:

Sabendo que T(n) também é igual a 2n, determine a complexidade do algoritmo encontrando o valor de x que satisfaça essa igualdade.
Provas
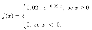
Capacitor é um dispositivo que armazena cargas elétricas quando ocorre uma diferença de potencial entre seus terminais. O tempo de vida útil de um capacitor produzido por uma determinada empresa é medido em anos. Assuma que o tempo de vida útil do capacitor é uma variável aleatória contínua e pode ser modelada pela função densidade de probabilidade a seguir:

Em condições ideais de uso, a empresa reembolsará o consumidor se o capacitor apresentar algum problema antes de 18 meses de uso. Determine a probabilidade de um cliente ser reembolsado. Considere que ln(1,03) = 0,03.
Provas
- SemânticaPolissemia
- Interpretação de TextosFiguras e Vícios de LinguagemFiguras de LinguagemComparação (Figura de Linguagem)
- Interpretação de TextosFiguras e Vícios de LinguagemFiguras de LinguagemIronia
Observe a imagem a seguir, considerando todo o contexto, inclusive as mensagens escritas. Depois, marque a opção que retrata o mecanismo de produção de sentido predominante:

Fonte: https://br.pinterest.com/pin/arte-e-manhas-da-lngua--475833516891049294/
Transcrição: Homem: “socorro, ajuda, me tirem daqui”. Pássaro: “se está cantando é porque está feliz”. |
Provas
Caderno Container