Foram encontradas 50 questões.
As manchas de sangue fornecem muitas pistas sobre o que aconteceu em uma cena do crime. Quando as gotas de sangue atingem uma superfície, o formato da mancha depende do ângulo de impacto e da distância percorrida. Se o sangue caísse verticalmente sobre uma superfície lisa, de modo que a trajetória do sangue fizesse um ângulo de 90° com a superfície, criaria uma gota de formato circular. Se o sangue caísse obliquamente no chão, num ângulo inferior a cerca de 70°, teria uma forma elíptica com uma cauda. A figura a seguir ilustra alguns formatos de manchas de sangue e seus respectivos ângulos.

Fonte: Gomes (2022)
Os peritos podem estimar o ângulo em que a gota de sangue atingiu a superfície se for considerado que o diâmetro da gota antes do impacto (b) é igual à largura da gota após o impacto. O ângulo de impacto é chamado de ângulo de incidência (\( \theta \)) e pode ser calculado com a ajuda de um triângulo retângulo, como ilustrado na figura.

Qual a função trigonometria usada para obter o ângulo de incidência?
Provas
A figura abaixo ilustra um conjunto de ruas de mão única com tráfego fluindo nas direções indicadas pelas setas. As taxas de fluxo ao longo das ruas são medidas como o número médio de veículos por hora e estão indicadas na figura. O fluxo de veículos que entra em cada interseção é o mesmo que sai e o total de fluxo que entra é o mesmo que sai. Encontre o fluxo de veículos nos segmentos de ruas indicados por x1 x2, x3 e x4,. Depois, assinale a opção CORRETA.

Provas
Girih é uma palavra persa que significa nó e faz referência a um complexo sistema de padrões geométricos que emergem da disposição específica de 5 peças fundamentais: o decágono, o losango, a gravata borboleta, o pentágono e o hexágono. A figura abaixo exibe as 5 peças.

Fonte: Lu e Steinhardt (2007)
Os artistas islâmicos usaram este sistema para formar peças arquitetônicas elaboradas, pelo menos 500 anos antes que a matemática ocidental fosse capaz de definir a técnica. A figura abaixo é composta por 10 peças Girih. Quantas peças do tipo gravata borboleta foram utilizadas para formar essa figura?

Provas
A distribuição de Poisson é uma distribuição de probabilidade discreta que modela o número de ocorrências de um evento em um intervalo de tempo ou espaço fixo, dado que essas ocorrências são independentes e ocorrem com uma taxa média constante. Nesse sentido, considere que a quantidade de bezerros nascidos vivos e classificados como abaixo do peso em certa fazenda pode ser considerada uma variável aleatória discreta que segue o modelo probabilístico de Poisson. Sabe-se que a média de bezerros nascidos vivos e classificados abaixo do peso é 60 mensalmente. Determine a probabilidade de nascer pelo menos dois bezerros vivos e abaixo do peso diariamente.
Provas
Um arquiteto está projetando uma janela com formato peculiar e simétrica em relação ao eixo vertical. A curva superior da janela é limitada pela função f(x) = \( e \) −|x −3|, onde x representa a distância horizontal em metros da janela e f(x) representa a altura em metros. Se a largura da base da janela é de 2 metros, qual é a área a ser envidraçada desta janela em metros quadrados?
Provas
O Teorema de Bayes é uma ferramenta fundamental na probabilidade e estatística, com aplicações que vão desde a inteligência artificial até a medicina. Ele nos permite quantificar a incerteza, atribuindo probabilidades a eventos; atualizar nossas crenças à medida que novas informações se tornam disponíveis e na tomada de decisões mais informadas, pois consideramos todas as evidências disponíveis. Neste contexto, considere que na central de abastecimento há uma banca que recebe somente uma variedade de mamão, oriunda de três produtores do estado. A proporção identificada, nessa banca, corresponde a 25% do produtor Alexandre, 60% de Bernardo e 15% de Carlos. Sabe-se que é esperado que 1% do produzido por Alexandre, 10% de Bernardo e 5% de Carlos seja fora dos padrões de tamanho (geometria) do mamão considerado ideal. É feito, na central, o controle de qualidade da produção combinada dos três produtores. Sorteia-se, ao acaso, um mamão para inspeção e observa-se que ele está fora do ideal de tamanho (geometria). Determine a probabilidade desta fruta observada ser oriunda da produção de Bernardo.
Provas
A identificação da matriz simétrica associada a uma função quadrática é importante, pois a matriz simétrica encapsula informações sobre a geometria e as propriedades da função quadrática associada. Ao identificar essa matriz, podemos analisar a função de forma mais profunda e aplicar os resultados em diversas áreas do conhecimento. Considere a função Q(u)= uT .A.u sendo A uma matriz simétrica n x n, u = (u1,u2,u3,...,un) um vetor de variáveis reais, n é um número natural maior que zero e uT o vetor transposto do vetor u. Determine a matriz A para a função quadrática Q(u) = 2.u1 2 −4u1.u2 +9u22
Provas
Um professor de matemática do Ifes formulou um problema envolvendo conceitos de probabilidade e estatística, cuja resolução exige o conhecimento de combinações, variáveis aleatórias, valor esperado e distribuição hipergeométrica. O problema em questão é a existência de uma embalagem que contém quatro sementes de feijão-preto e seis sementes de feijão-vermelho. Uma amostra de três sementes é retirada ao acaso e sem reposição. Qual é o valor esperado da variável aleatória número de grãos de feijão-preto presente na amostra retirada?
Provas
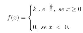
A função densidade de probabilidade (f.d.p.) é uma ferramenta essencial na teoria das probabilidades e estatística. Ela permite descrever probabilisticamente uma variável aleatória contínua, ou seja, como a probabilidade se distribui ao longo dos possíveis valores que a variável pode assumir. Nesse contexto, considere a função

em que \( k \) é um constante real.
Determine o valor k para que a função f(x) seja uma função densidade de probabilidade.
Provas
Dado um triângulo cujos os vértices \( P \)1, \( P \)2 e \( P \)3 estão localizados no plano cartesiano com área e perímetro iguais a \( A \) e \( P \) respectivamente. Um novo triângulo é gerado a partir da transformação \( P_i'=\ k.M.P_i \), em que a matriz \( M \) é a matriz de rotação de \( P \)\( i \) em \( \theta \) é dada por
\( M=\left(_{sen\ \theta\ \ \ \ \ \cos\ \theta}^{\cos\ \theta\ \ \ \ -sen\ \theta}\right) \)
Considerando que \( k \) é uma constante real, determine a área (An) e o perímetro (Pn) do novo triângulo de vértices \( p_1' \) , \( P_2' \) e \( P_3' \).
Provas
Caderno Container