Foram encontradas 70 questões.
- Auditoria InternaAuditoria Interna Contábil
- Documentos e RelatóriosRelatório de auditoria (Parecer de auditoria)
A adoção da autoria contábil tem a legítima função como medida de segurança contra a possibilidade de manipulação das informações contábeis. Ato contínuo, um dos objetivos gerais da Auditoria Interna é prestar ajuda à alta Administração das entidades, desenvolvendo adequadamente suas atribuições e proporcionando-lhes análises, recomendações e comentários objetivos acerca dos resultados obtidos. Neste sentido, em atenção às normas atinentes à Auditoria Interna, consoante à Norma Brasileira de Contabilidade NBC-TI 01, marque (V) para as afirmativas verdadeiras e (F) para as afirmativas falsas:
( ) A Auditoria Interna é exercida nas pessoas jurídicas de direito público, interno ou externo, e de direito privado.
( ) O relatório da Auditoria Interna deve ser objetivo e abordar apenas os aspectos do objetivo e a extensão dos trabalhos, os riscos associados aos fatos constatados e à metodologia adotada.
( ) Os papéis de trabalho constituem documentos e registros dos fatos, informações e provas, obtido no curso da auditoria, a fim de evidenciar os exames realizados e dar suporte à sua opinião, críticas, sugestões e recomendações.
( ) Os procedimentos da Auditoria Interna constituem exames e investigações, incluindo testes de observância e testes substantivos, que permitem ao auditor interno obter subsídios suficientes para fundamentar suas conclusões e recomendações à administração da entidade, como por exemplo, a inspeção, observação e a investigação.
( ) Ao determinar a extensão de um teste de auditoria ou um método de seleção de itens a serem testados, não podem ser empregadas técnicas de amostragem.
A sequência CORRETA corresponde à:
Provas
Provas
Provas
Analise os itens a seguir:
I. Os pontos B(0,6); C(2,2) e D(8,-y) não serão colineares se o valor de y for igual a 10.
II. Para que os pontos B(-6,10); C(2,2) e D(6,-y) estejam alinhados é preciso que o valor de y seja igual a 2.
III. Os pontos B(2,2); C(4,6) e D(x,-10) serão colineares se o valor de x for igual a 3.
Sobre os itens acima, é CORRETO afirmar que:
Provas
Provas
Analise os itens abaixo sobre os pontos A(2,3), B(3,4) e C(2,1):
I. A equação geral da reta que passa pelos pontos A e C é a equação: -3x + 2y -1 = 0.
II. A equação geral da reta que passa pelos pontos A e B é a equação: 2x - 4y - 3 = 0.
III. A equação geral da reta que passa pelos pontos A e B é a equação: -x + y - 1= 0.
Assinale a alternativa CORRETA:
Provas
Após analisar os itens a seguir, assinale a alternativa CORRETA:
I. Fazendo o produto da matriz
pela matriz
obtemos como resultado a matriz
.
II. A matriz
é a matriz transposta da matriz
.
III. A matriz
é uma matriz de ordem 3x3 e seu determinante é igual a 1.
Provas
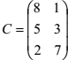
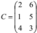
Considerando as matrizes abaixo:

Podemos afirmar que:
Provas
Dados os polinômios:
C(x) = 4x3 + 6x2 -12x +8.
D(x) = 3x3 - 4x2 + 9.
E(x) = 2x + 6x - 4.
Assinale a alternativa CORRETA sobre eles
Provas

Provas
Caderno Container