Foram encontradas 40 questões.
Para a habilitação nas licitações, não se exigirá dos interessados documentação relativa a:
Provas
Questão presente nas seguintes provas
A negação da sentença “Ou Pedro vai ao cinema ou Maria irá à creche” é apresentada na alternativa:
Provas
Questão presente nas seguintes provas
Quando o funcionário público for removido para outra unidade administrativa, deverá se apresentar na nova unidade no prazo de:
Provas
Questão presente nas seguintes provas
Segundo a Lei Estadual nº 5.427/2009, fica impedido de atuar em processo administrativo o servidor ou autoridade que:
Provas
Questão presente nas seguintes provas
Nos termos do Art. 1° da Lei Estadual n° 4.984, de 11 de janeiro de 2007, a parcela da remuneração resultante do trabalho do preso destinada ao ressarcimento ao Estado das despesas realizadas com a manutenção do condenado é de:
Provas
Questão presente nas seguintes provas
Nos termos do Art. 1° do Anexo ao Decreto Estadual nº 41.425, de 06 de agosto de 2006, que altera e consolida o Estatuto da Fundação Santa Cabrini, a FSC possui natureza de:
Provas
Questão presente nas seguintes provas
Constituirão recursos da Fundação Santa Cabrini:
Provas
Questão presente nas seguintes provas
Entre os direitos dos funcionários públicos estaduais previstos no Decreto Estadual nº 2.479/1979, encontra-se o direito a:
Provas
Questão presente nas seguintes provas
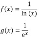
Observe as funções apresentadas a seguir:

Considerando as funções f e g dadas, f (g(-1)) é igual a:

Considerando as funções f e g dadas, f (g(-1)) é igual a:
Provas
Questão presente nas seguintes provas
Observe o desenho a seguir, que mostra dois triângulos retângulos semelhantes ABD e ACE.

Sabendo-se que os comprimentos dos segmentos
valem respectivamente 4, 3 e 3, o comprimento do segmento valem respectivamente 4, 3 e 3, o comprimento do segmento
vale:Provas
Questão presente nas seguintes provas
Cadernos
Caderno Container