Foram encontradas 40 questões.
Julgue os próximos itens referentes às relações humanas.
I A comunicação tem grande importância nos relacionamentos humanos. Muitos problemas de relacionamento têm origem em falhas de comunicação.
II As relações humanas se caracterizam por uma atitude de respeito, compreensão e valorização do ser humano.
III A inteligência emocional está relacionada a habilidades como motivar a si mesmo, controlar impulsos negativos e saber lidar com conflitos interpessoais.
A quantidade de itens certos é igual a
Provas
Cooperação é uma forma de interação que é altamente desejável no convívio das pessoas, pois fortalece a união dos grupos sociais. Entre os elementos que compõem a cooperação, não se inclui
Provas
Texto para as questões 37 e 38
José é assistente cultural da FCPTN e pertence à equipe de manutenção e conservação de equipamentos. Nessa equipe, alguns empregados são atenciosos, enquanto outros, embora atendam bem, se descontrolam em alguns momentos. José se destaca pela rispidez com que trata os colegas e demais pessoas e, por isso, tem sido rejeitado por todos.
Paulo, chefe do setor de José, conduziu a equipe a aceitar, de boa vontade, a realização de uma dinâmica de grupo na qual o relacionamento da equipe foi discutido. Após a realização do encontro, os empregados conscientizaram-se das próprias falhas e propuseram-se a corrigi-las, buscando uma forma de ajudar José a vencer o mau humor e a rispidez.
Com relação à situação hipotética apresentada no texto, é correto afirmar que a liderança exercida por Paulo diante de sua equipe é do tipo
Provas
Texto para as questões 37 e 38
José é assistente cultural da FCPTN e pertence à equipe de manutenção e conservação de equipamentos. Nessa equipe, alguns empregados são atenciosos, enquanto outros, embora atendam bem, se descontrolam em alguns momentos. José se destaca pela rispidez com que trata os colegas e demais pessoas e, por isso, tem sido rejeitado por todos.
Paulo, chefe do setor de José, conduziu a equipe a aceitar, de boa vontade, a realização de uma dinâmica de grupo na qual o relacionamento da equipe foi discutido. Após a realização do encontro, os empregados conscientizaram-se das próprias falhas e propuseram-se a corrigi-las, buscando uma forma de ajudar José a vencer o mau humor e a rispidez.
Com relação à situação hipotética descrita no texto e considerando os princípios fundamentais das relações humanas, assinale a opção correta.
Provas

As lojas A e B fizeram uma promoção para a venda de CDs, e os preços pelas quantidades vendidas estão representados nos gráficos acima. Os gráficos das funções A(x) e B(x) representam, respectivamente, os preços em função das quantidades - x - de CDs compradas pelos clientes, nas lojas A e B. Cada um desses gráficos é formado por um segmento de reta e por uma semi-reta. A semi-reta que integra o gráfico de A(x) tem inclinação igual a 3 e a do gráfico de B(x) tem inclinação igual a 2. Com base nessas informações e nos gráficos acima, julgue os seguintes itens.
I Caso um cliente queira adquirir menos de 10 CDs, é mais vantajoso para ele comprar na loja B.
II Com R$ 30,00, um cliente compra nas duas lojas a mesma quantidade de CDs.
III Na compra de 15 CDs na loja A, um cliente economizará, em relação à compra na loja B, R$ 0,20 em cada CD.
IV Na compra de 20 CDs na loja B, um cliente economizará, em relação ao que gastaria na compra na loja A, mais de R$ 10,00.
V Com R$ 66,00, um cliente poderá comprar até 18 CDs na loja A, mas não, na loja B.
A quantidade de itens certos é igual a
Provas
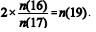
O edital do presente concurso prevê o total de 108 vagas para os cargos 16 (Assistente Administrativo), 17 (Assistente Cultural - Área: Cenotécnica ou Cenografia) e 19 (Assistente Cultural - Área: Produção). Sabe-se que o número de vagas para o cargo 17 é igual a
do número de vagas para o cargo 16 e que o número de vagas para o cargo 19 é igual a
do número de vagas para o cargo 16. Representando por n(16), n(17) e n(19) as quantidades de vagas para os cargos 16, 17 e 19, respectivamente, julgue os itens que se seguem.
I Apenas um dos números n(16), n(17) e n(19) é ímpar.
II n(17) + n(19) > n(16).
III
.
IV Os números n(17), n(19) e n(16) são, nessa ordem, diretamente proporcionais a 2, 5 e 20.
Estão certos apenas os itens
Provas
Texto para as questões de 16 a 18
Estudo do IBGE revelou que, em média, as famílias brasileiras gastam 8% de seu orçamento mensal com cultura e lazer. A tabela a seguir mostra como é empregado esse valor.
cinema | discoteca | festa de aniversário e casamento | outras festas | teatro e show | outros |
15% | 27% | 42% | 9% | 4% | 3% |
Istoé, n.º 1.937, 6/12/2006, p. 20 (com adaptações)
Considere que o orçamento mensal de determinada família seja igual a P reais. Considere, também, no sistema de coordenadas cartesianas xOy, a função y = f(x) = kx, em que
. Dessa forma, o valor gasto com cada item de cultura ou lazer constante da tabela da reportagem é da forma f(x), em reais, para algum número real x.
Com base nessas informações e na reportagem apresentada, assinale a opção em que todos os gastos destacados estão corretamente representados pelos valores da função.
Provas
Texto para as questões de 16 a 18
Estudo do IBGE revelou que, em média, as famílias brasileiras gastam 8% de seu orçamento mensal com cultura e lazer. A tabela a seguir mostra como é empregado esse valor.
cinema | discoteca | festa de aniversário e casamento | outras festas | teatro e show | outros |
15% | 27% | 42% | 9% | 4% | 3% |
Istoé, n.º 1.937, 6/12/2006, p. 20 (com adaptações)
Suponha que uma família gaste mensalmente R$ 180,00 com cinema. Nesse caso, de acordo com a reportagem, o orçamento mensal dessa família deve ser
Provas
Texto para as questões de 16 a 18
Estudo do IBGE revelou que, em média, as famílias brasileiras gastam 8% de seu orçamento mensal com cultura e lazer. A tabela a seguir mostra como é empregado esse valor.
cinema | discoteca | festa de aniversário e casamento | outras festas | teatro e show | outros |
15% | 27% | 42% | 9% | 4% | 3% |
Istoé, n.º 1.937, 6/12/2006, p. 20 (com adaptações)
Considere que uma família tenha um orçamento mensal de R$ 3.200,00. Nesse caso, de acordo com a reportagem, essa família gasta com cultura e lazer
Provas
Ao comprar um veículo, o comprador acordou que seria feito um pagamento de R$ 2.200,00 no ato da compra, R$ 2.170,00 depois de um mês, R$ 2.140,00 após dois meses, e assim sucessivamente, até completar um total de 25 pagamentos. Nesse caso, o valor pago pelo veículo foi
Provas
Caderno Container