Foram encontradas 690 questões.
Disciplina: Administração de Recursos Materiais
Banca: VUNESP
Orgão: EsFCEx
A empresa ABC em seu novo processo para mensurar e monitorar os custos de qualidade, identificou os investimentos necessários para fazer frente aos desenvolvimentos de fornecedores, produtos e do sistema de produção, os quais devem ser classificados como custos
Provas
Três líquidos foram aquecidos em recipientes abertos, sob as mesmas condições de taxa de aquecimento e de pressão ambiente. O líquido 1 é água destilada; o líquido 2 é uma solução aquosa de cloreto de potássio 0,1 mol/L; e o líquido 3 é uma solução aquosa de nitrato de alumínio 0,1 mol/L. Ao atingirem a temperatura de ebulição, comparando-se suas pressões de vapor, tem-se, corretamente, que:
Provas
A figura representa uma célula unitária do composto iônico formado pelas espécies A e B, representadas por esferas de cores pretas e cinza, respectivamente.

(Sun Min, Wang Chong-Yu, Liu Ji-Ping. Chinese Physics B, 2018)
Considerando as massas molares de A igual a x gramas e de B igual a y gramas, a massa de um mol dessa célula unitária é igual a:
Provas
Tratando-se de infração continuada ou permanente, praticada em território de duas ou mais jurisdições, a competência firmar-se-á
Provas
Dispõe o art. 155 do CPP que o juiz formará sua convicção pela livre apreciação
Provas
Nos termos do art. 12 do CPP, quando do oferecimento da queixa-crime, o inquérito policial
Provas
Sobre as obrigações acessórias, a microempresa ou empresa de pequeno porte optante pelo Simples Nacional deverá apresentar anualmente
Provas
A tabela a seguir apresenta algumas informações a respeito de alguns ácidos graxos.
| Grupo | Nome sistemático |
Fórmula molecular |
| I |
Ácido n-dodecanoico Ácido n-hexadecanóico |
!$ CH_3(CH_2)_{10} COOH !$ !$ CH_3(CH_2)_{14}COOH !$ |
| II |
Ácido n-octadecanóico Ácido cis-9-octadecanóico |
!$ CH_3(CH_2)_{16}COOH !$ !$ CH_3(CH_2)_7CH = CH(CH_2)_7COOH !$ |
| III |
Ácido trans-9-octadecanóico Ácido cis-9-octadecanóico |
!$ CH_3(CH_2)_7CH = CH(CH_2)_7 COOH !$ !$ CH_3(CH_2)_7 CH(CH_2)_7 COOH !$ |
Dentro de cada grupo, I, II e III, os ácidos graxos que apresentam os pontos de fusão mais altos são, correta e respectivamente:
Provas
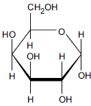
Na figura, é apresentada a fórmula de Haworth para a forma hemiacetálica cíclica de um monossacarídeo.

Trata-se de uma e a conformação do átomo de carbono anomérico é . Em relação à sua estrutura de cadeia aberta, a ciclização ocorreu entre os átomos de carbono de números .
Assinale a alternativa que preenche, correta e respectivamente, as lacunas do texto.
Provas
Uma mistura de fenilamina, a anilina, C6H7N, e fenilmetanol, o álcool benzílico, C7H8O, foi submetida a um procedimento para separação, conforme representado no esquema da figura a seguir.

O álcool benzílico e um sal de amina estão presentes, preponderante e respectivamente, nas fases
Provas
Caderno Container