Foram encontradas 70 questões.
""No século XVI o açúcar tomou-se o principal produto de exportação brasileiro e não perdeu essa posição predominante até meados do século XVIIl, quando o Brasil abarrotou os cofres da Europa ... (com a venda desse produto agrícola) ... e, ajudou a impulsionar a Revolução Industrial."
Schwartz, Stuart B. Segredos Internos: Engenhos e escravos na sociedade colonial. São Paulo: Companhia das Letras, 1988, p/44.
Analise as afirmações a seguir, e assinale a alternativa correta sobre a economia colonial brasileira no período denominado como "ciclo do açúcar."
l. A dinâmica do funcionamento da economia açucareira esteve sempre relacionada ao comércio internacional desse produto e as mudanças políticas e econômicas vigentes no mundo atlântico.
II. A dimensão comercial da indústria açucareira garantiu que o açúcar brasileiro chegasse aos mercados europeus desde o início do século XVI e contribuiu consideravelmente para a formação de uma importante comunidade mercantil no Brasil.
III. Apesar da magnitude desse comércio ele não exigia grandes investimentos em mão de obra e, portanto, pouco alterou a estrutura demográfica e social da colônia.
Provas
Questão presente nas seguintes provas
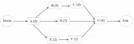
Considere o modelo proposto pelo PMI (Projecl Management Institute) para o gerenciamento de projetos e o diagrama abaixo que ilustra um conjunto encadeado de atividades e sua duração (em dias) entre parênteses:

Para que o caminho A-D-G se tome um caminho crítico, qual das alternativas representa a quantidade de dias que a atividade D deve possuir:
Provas
Questão presente nas seguintes provas
1195506
Ano: 2018
Disciplina: TI - Organização e Arquitetura dos Computadores
Banca: DECEx
Orgão: EsFCEx
Disciplina: TI - Organização e Arquitetura dos Computadores
Banca: DECEx
Orgão: EsFCEx
Provas:
Assinale a alternativa que completa corretamente as lacunas abaixo.
"Num circuito as saídas dependem exclusivamente das entradas . Num circuito as saídas dependem de um ou mais estados anteriores do sistema."
Provas
Questão presente nas seguintes provas
Em relação às diretrizes da Norma Brasileira de Segurança da Informação para classificação, rotulação e tratamento da informação, associe a segunda coluna de acordo com a primeira e, a seguir, assinale a alternativa com a sequência correta:
| Nível de classificação | Características básicas |
| 1. Nível 1 |
( ) Informações internas que podem ser divulgadas a todos os colaboradores e prestadores de serviço.
|
| 2. Nível 2 |
( ) Informações que podem ser divulgadas publicamente.
|
| 3. Nível 3 |
( ) Informações restritas que podem ser divulgadas a determinados grupos.
|
| 4. Nível 4 |
( ) Informações que requerem tratamento especial.
|
Provas
Questão presente nas seguintes provas
Analise as afirmativas sobre o modelo de medição da eficácia de um Sistema de Gestão da Segurança da Informação (SGSI), colocando entre parênteses a letra "V", quando se tratar de afirmativa verdadeira, e a letra "F" quando se tratar de afirmativa falsa. A seguir, assinale a alternativa que apresenta a sequência correta.
( ) O Cliente da medição é quem exige informação sobre a eficácia de um SGSI e seus controles.
( ) O Coletor da informação é quem detém a informação sobre um objeto de medição e atributos e é o responsável pela medição.
( ) O Comunicador de informação é quem analisa e comunica os resultados da medição.
Provas
Questão presente nas seguintes provas
Em relação à norma ABNT para Diretrizes para Segurança Cibernética, assinale a alternativa que completa corretamente as lacunas abaixo.
"Um no espaço cibernético é qualquer coisa que tem para um indivíduo ou uma organização, e pode ser: , e .
Provas
Questão presente nas seguintes provas
Complete a lacuna do texto abaixo.
O emprego de tecnologias avançadas direcionadas para a automação da produção visa aumentar a produtividade e intensificar a exploração da força de trabalho (apenas um operário, com o mesmo salário, faz o trabalho de dezenas), proporcionando maior acumulação de capital. Nessa etapa da dinâmica de produção industrial foi implantada uma nova forma de organização do trabalho no interior das fabricas, chamada de . Segundo esse tipo de organização do trabalho, o crescimento da atividade fabril esta baseado na integração efetiva entre a produção de conhecimentos científicos, tecnológicos e de produção e sua aplicação imediata no processo produtivo.
Provas
Questão presente nas seguintes provas
Considere o programa escrito abaixo em linguagem C:
#include <stdio.h>
#include <conio.h>
int main () {
int vetor [] = {0, 10, 20, 30, 40};
int *p1, *p2;
p1 = &vetor[3];
p2 = vetor;
++p2;
printf("%d\n", *(vetor+(p1 - p2)));
}
Assinale a alternativa correta sobre o resultado impresso.
Provas
Questão presente nas seguintes provas
Considerando o contexto da Primeira República no Brasil (1889-1930), no qual surge o movimento operário, assinale a alternativa correta:
"O crescimento das cidades e a diversificação das suas atividades foram requisites mínimos de constituição de um movimento da classe trabalhadora."
FAUSTO. Boris. História do Brasil. São Paulo:Editora da Universidade de São Paulo. Fundação para o Desenvolvimento da Educação, 2000, p. 254.
Provas
Questão presente nas seguintes provas
Analise as afirmativas sobre redirecionamento no sistema operacional Linux, colocando entre parênteses a letra "V", quando se tratar de afirmativa verdadeira, e a letra "F" quando se tratar de afirmativa falsa. A seguir, assinale a alternativa que apresenta a sequência correta.
( ) O '> · redireciona o resultado de algum comando para um arquivo, manipulando tanto mensagens de operações bem sucedidas quanto mensagens de erro.
( ) O '1>>' redireciona o resultado de algum comando para o final de um arquivo, sem apagar o conteúdo anterior, manipulando tanto mensagens de operações bem sucedidas quanto mensagens de erro.
( ) O '2>>' redireciona o resultado apenas das mensagens de erro de algum comando para o final de um arquivo, sem apagar o conteúdo anterior.
Provas
Questão presente nas seguintes provas
Cadernos
Caderno Container