Foram encontradas 730 questões.
TEXTO I
La historia está en nosotros o en ninguna parte. No está atrás, en ese lugar nebuloso que lIamamos pasado. No está en los libros que codifican esa historia, a menos que los hagamos nuestros, ni en los papeles muertos de nuestros archivos, a menos que los revivamos con nuestra mirada. Tampoco está en los templos, los museos o edificios mudos de nuestras ciudades, a menos que los hagamos hablar con nuestro conocimiento de otros tiempos y otros hombres.( ... )
Todo lo que hay en el reino deI hombre ha empezado y terminado alguna vez, todo es historia. Pero hay la historia que pasó y la historia que sigue sucediendo, eso que Fernand Braudel lIamó la historia de "larga duración", cuyos cambios, lentos y profundos, duran más que los gobiernos o las batallas.( ... )
Quisiera poner ahora el acento no tanto en las cosas que cambiaron esos acontecimientos centrales de nuestra historia, sino en algunos de los rasgos que parecen durar a través deI tiempo, que extienden su sombra hasta nosotros y son todavía la historia que somos.
(HÉCTOR, Aguilar Camín. Actualidad del pasado. Dos siglos de cambios y
costumbres políticas de México. Revista Nexos, n. 386, Febrero de 2010. p. 51).
Relacione los tiempos verbales a los verbos conjugados en las oracíones al lado y, enseguida, señale la asociación correcta.
1. pretérito indefinido ( ) "(...) hagamos nuestros ... "
2. pretérito imperfecto ( ) "(...) lIamó la historia ... "
3. pretérito perfecto compuesto ( ) "(...) ha empezado ... "
4. presente del indicativo ( ) "(...) todo es historia ... "
5. presente del subjuntivo
Provas
Questão presente nas seguintes provas
Praticamente todos os manuais de jornalismo recomendam o uso da técnica da pirâmide invertida (texto escrito em ordem decrescente de importância), observando as limitações de espaço da mídia impressa e a eventual necessidade de cortes de texto. Os meios online, entretanto, não padecem do mesmo problema. Pelo contrário: neles, o espaço é virtualmente infinito. Ao organizar uma reportagem jornalística para um meio em ambiente web, o editor deve:
Provas
Questão presente nas seguintes provas
Com base nos conceitos ácido-base de Arrhenius e de Brönsted-Lowry, analise as afirmativas abaixo, colocando entre parenteses a letra “V”, quando se tratar de afirmativa verdadeira, e a letra “F”, quando se tratar de afirmativa falsa. A seguir, assinale a alternativa que apresenta a sequência correta.
( ) Espécies químicas que têm na sua composição hidrogênio com carga parcial positiva, H8+, são ácidos de Arrhenius.
( ) Bases de Brönsted-Lowry têm na sua composição átomos com pares de elétrons não-ligantes.
( ) Bases de Brönsted-Lowry, em água, produzem íons OH-.
( ) Ácidos de Arrhenius são substâncias iônicas.
Provas
Questão presente nas seguintes provas
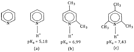
São dados a seguir as estruturas da piridina, as de alguns de seus derivados e os valores de pKa para esses derivados. São dadas também algumas informações sobre esses compostos:
I. o composto (a) é o ácido conjugado da piridina.
II. o composto (a) é base mais forte que (b) e (c).
III. os grupos metil aumentam a força básica da piridina.
IV. o composto (b) é um ácido mais fraco que (c).

Das informações dadas estão corretas:
Provas
Questão presente nas seguintes provas
Sobre algumas espécies químicas, analise as afirmativas abaixo e, a seguir, assinale a alternativa correta.
I. A molécula I2 é mais polarizável que !$ C\ell_2 !$.
II. O momento de dipolo de Hl é maior que o de H!$ C\ell !$.
III. O cátion Na+ é mais polarizante que Li+.
IV. O caráter covalente no cloreto de lítio é maior que no cloreto de sódio.
V. As forças intermoleculares entre !$ C\ell_2 !$ são mais intensas que entre I2.
Provas
Questão presente nas seguintes provas
O conjunto de normas e padrões do protocolo TCP/IP é descrito em documentos chamados de:
Provas
Questão presente nas seguintes provas
1387707
Ano: 2010
Disciplina: TI - Organização e Arquitetura dos Computadores
Banca: DECEx
Orgão: EsFCEx
Disciplina: TI - Organização e Arquitetura dos Computadores
Banca: DECEx
Orgão: EsFCEx
Provas:
Considerando a aritmética binária, a operação SHIFT-ESQ (N) representa o deslocamento de 1 (um) bit à esquerda sobre um número "N" binário. Sabendo-se que esta operação foi executada 3 (três) vezes seguidas sobre um valor "N" qualquer, qual fórmula matemática equivale ao resultado final sobre este mesmo número em uma base decimal?
Provas
Questão presente nas seguintes provas
O intervalo de tempo entre dois eventos que acontecem na origem de um referencial inercial S é 3,0s. Considerando c a velocidade da luz no vácuo, o intervalo de tempo entre estes eventos medido por um referencial inercial S' que se movimenta com velocidade 4c/5, com relação a S é:
Provas
Questão presente nas seguintes provas
A partir do início da década de 1980 ganhou adeptos no Brasil a hipótese da "inflação inercial". A respeito dessa hipótese e das proposições para combater a inflação inercial, assinale a alternativa correta.
Provas
Questão presente nas seguintes provas
Com base na mecânica quântica, analise as afirmativas abaixo e, a seguir, assinale a alternativa correta.
I. O efeito fotoelétrico foi completamente explicado a partir da hipótese da quantização da energia do fóton (partícula de luz).
II. Corpos com temperaturas abaixo de 0°C absorvem e refletem radiação, mas não as emitem.
III. A função trabalho é a energia mínima que um elétron deve receber para ser emitido da superfície de um corpo.
IV. De acordo com a teoria da radiação do corpo negro, uma superfície emissora ideal é também uma superfície refletora ideal.
Provas
Questão presente nas seguintes provas
Cadernos
Caderno Container