Foram encontradas 505 questões.
Considerando que tudo que é produzido é vendido, o lucro unitário por litro de óleo pesado é de R$ 5,00 e o do litro de óleo leve é de R$ 3,50.
Matéria-prima Quantidade de matéria-prima Matéria-prima disponível na
utilizada na produção de um litro semana de produção (kg)
de óleo (gramas)
x1 x2
P 10 8 8
Q 8 16 12
R - 15 10
Considerando o objetivo de maximizar o lucro, o modelo de programação linear adequado, apresentado na forma canônica, no qual x1 e x2 referem-se, respectivamente, aos óleos leve e pesado, é
Provas
Provas
Considere as afirmativas abaixo concernentes á estimação pontual de estimadores.
I -
é um estimador assintoticamente
não tendencioso para a variância populacional.
II - Se
é assintoticamente não tendencioso e
então
é um estimador
consistente.
III - O Erro Quadrático Médio do estimador
é dado por
.
IV -
é um estimador não tendencioso
para a média populacional.
Está correto o que se afirma em
Provas
Considerando o problema como aplicação de programação linear inteira, e definindo Xk (k = 1,2,3...,m) como uma variável binária para o embarque ou não do k-ésimo tonel, qual é a formulação correta?
Provas
Max z = 3x1 + 4x2
Sujeito a
15x1 + 12x2 ≤ 360
12x1 + 24x2 ≤ 528
x1 , x2 ≥ 0
Qual é o intervalo no qual pode variar o coeficiente angular da equação da função objetivo sem alterar os valores das variáveis de decisão da solução ótima?
Provas
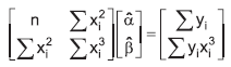
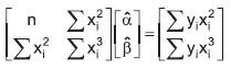
Os estimadores de mínimos quadrados para os parâmetros α e β, respectivamente
e
, são soluções da
equação matricialProvas
Considere as afirmações a seguir referentes ao modelo de série temporal:
yt = 0,8yt-1 + 2 + εt - 0,5εt-1 ,
com εt normalmente distribuído com média 0 e variância σ2 .
I - O modelo descrito é ARMA(1,1).
II - O modelo é estacionário.
III - A média μ é 2.
Está correto o que se afirma em
Provas
Com base nos dados obtidos, considere as afirmações a seguir.
I - O coeficiente de variação é de 20% com os dados considerados homogêneos.
II - 25% da informação obtida se situa entre 545 e 620.
III - A distribuição é assimétrica positiva.
IV - O valor de 520 divide a distribuição ao meio.
É correto o que se afirma em
Provas

Sabendo-se que as Tabelas acima são as que precedem a que apresenta a solução ótima (Tabela n), os valores das variáveis de decisão, x1 e x2, e o da função de otimização da solução ótima correspondente são, respectivamente,
Provas
Max W = [y1 y2 y3 ]
Sujeito a: [y1 y2 y3 ]
[y1 y2 y3 ] ≥ [0 0 0]Qual é a formulação original (primal) do problema de programação linear que possui a formulação dual apresentada acima?
Provas
Caderno Container