Foram encontradas 480 questões.
Os autovalores da matriz
são
Provas
Questão presente nas seguintes provas
- FunçõesFunção de 1º Grau (Afim)
- TrigonometriaFunções Trigonométricas e Funções Trigonométricas Inversas
A equação da reta tangente ao gráfico da função definida por
f(x) = sen (x) pelo ponto de abscissa x = π/6 é
Provas
Questão presente nas seguintes provas
Pretende-se construir uma caixa com faces retangulares e ângulos retos, sem tampa, conforme mostra a figura, sendo que essa caixa deverá ter volume igual a 800 cm³.
Sabendo-se que a altura indicada por h na figura mede 5 cm, pode-se concluir que a área da base retangular dessa caixa é igual, em centímetros quadrados, a
Sabendo-se que a altura indicada por h na figura mede 5 cm, pode-se concluir que a área da base retangular dessa caixa é igual, em centímetros quadrados, a
Provas
Questão presente nas seguintes provas
Um capital de x reais foi aplicado no sistema de juros simples a uma taxa de 0,8% ao mês, e o montante resgatado, ao final da aplicação, foi de 1,12 x. Desse modo, é correto afirmar que esse capital permaneceu aplicado durante
Provas
Questão presente nas seguintes provas
Com uma vazão constante de 40 litros de água por minuto, uma torneira preenche 3/4 da capacidade total de um reservatório cúbico, inicialmente vazio, em 18 min 45 s. Nessas condições, é correto afirmar que, para preencher a metade da capacidade total desse reservatório são necessários, apenas,
Provas
Questão presente nas seguintes provas
Calculando
obtém-se
Provas
Questão presente nas seguintes provas
Os resultados de duas perguntas de uma ampla pesquisa sobre mobilidade urbana estão representados nos gráficos:

Apesar de 552 entrevistados afirmarem que a situação do trânsito na cidade é ruim ou péssima, o número de entrevistados que dificilmente deixaria ou não deixaria de usar o carro se houvesse uma boa alternativa é de, apenas,

Apesar de 552 entrevistados afirmarem que a situação do trânsito na cidade é ruim ou péssima, o número de entrevistados que dificilmente deixaria ou não deixaria de usar o carro se houvesse uma boa alternativa é de, apenas,
Provas
Questão presente nas seguintes provas
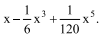
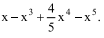
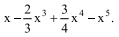
A aproximação de Taylor em torno de x = 0 até a 5.ª ordem
da função definida por ƒ(x) = sen (x) é
Provas
Questão presente nas seguintes provas
Sabe-se que o salário líquido mensal de André corresponde a 4/5 do salário líquido mensal de seu irmão Bruno e que, a cada mês, Bruno reserva 2/5 do valor recebido para pagar a mensalidade da faculdade, restando, ainda, R$ 1.830,00 para outros gastos. Desse modo, é correto afirmar que a diferença entre os salários líquidos mensais de Bruno e de André é igual a
Provas
Questão presente nas seguintes provas
Seja ƒ(x, y) = x + y e S a região definida por 0 ≤ x ≤ 5 e
0 ≤ y ≤ 3. O volume do sólido sob o gráfico da função f e
acima da região S é
Provas
Questão presente nas seguintes provas
Cadernos
Caderno Container