Foram encontradas 60 questões.
Provas
Provas
As quantidades de material foram obtidas considerando uma margem adicional de 10 [%] para materiais adquiridos na forma de peças e de 20 [%] para materiais adquiridos por metro, além das quantidades efetivamente necessárias para a instalação elétrica. Dado que o tempo empregado para a instalação de cada peça é 10 minutos e cada metro de cabo (monopolar ou tripolar) é 5 minutos, e que o custo de mão de obra é de R$ 50,00 por hora, o valor da mão de obra para instalação desses materiais, em R$, é de
Provas
Considerando que B1 e B2 são botões normalmente abertos, e B3 é um botão normalmente fechado, deseja-se que:
− caso B3 esteja fechado, L acenda quando B1 ou B2 estejam fechados.
− caso B3 esteja aberto, L não deve acender.
Um possível programa elaborado em Diagrama em Escada que atende à condição especificada é:
Provas
A distorção harmônica total, ou THD, é uma medida da distorção harmônica presente em um determinado sinal e é definida como a relação entre a soma das potências de todos os componentes harmônicos e a potência da frequência fundamental. Dado que um resistor R é submetido a um sinal de tensão cujo conteúdo harmônico é apresentado na tabela abaixo.

O valor da THD desse sinal, em valor percentual, é:
Provas
Provas
Provas
Provas
Um circuito elétrico é descrito pela tabela de conectividade abaixo.

O valor da corrente que circula pelo Resistor 1, em [A], é
Provas
Um transformador monofásico possui os dados de placa apresentados na tabela abaixo.

O valor da reatância de curto-circuito, em [Ω], referida ao lado de alta-tensão do transformador é
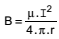
Provas
Caderno Container