Foram encontradas 671 questões.
Provas
Provas
O tamanho de grão de metais policristalinos é de fundamental importância, uma vez que afeta diversas propriedades tanto em alta como em baixa temperatura. Se existem 60 grãos por polegada quadrada numa fotomicrografia de um metal obtida com ampliação de 200X, qual é o número ASTM de tamanho de grão do metal?
Dados: N= 2n-1 ; log(2) = 0,301; log(3) = 0,47.
Provas
- Materiais de Construção MecânicaEnsaios Mecânicos e Tratamentos Térmicos
- Materiais de Construção MecânicaPropriedades e Comportamentos dos Materiais
Provas
- Mecânica dos FluidosFundamentos e Análise da Cinemática de Escoamentos
- Sistemas FluidomecânicosMáquinas de Fluxo
Provas
Provas
Provas
Provas
Leia as frases abaixo sobre VÁLVULAS DE CONTROLE.
1. No cálculo de uma válvula, é sempre necessário verificar se vai ocorrer a cavitação.
2. As válvulas BORBOLETA tendem a cavitar mais facilmente que as do tipo GLOBO.
3. Para bom dimensionamento, a queda de pressão através da válvula não deve ser escolhida maior que 10% da queda de pressão total na linha.
4. A válvula GLOBO DUPLA SEDE é indicada para grandes vazões e pequenos diferenciais de pressão.
5. A queda de pressão através da válvula que dá início à cavitação, chamada de pressão diferencial crítica, depende do fator Cf.
São FALSAS as afirmativas:
Provas
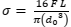
Uma barra do aço ABNT 4140 laminada a quente é submetida a ensaios giratórios com dobramento segundo ciclos alternados de tensões. Se o diâmetro dos corpos de prova é 8+-0,025 mm, determine a carga cíclica máxima que pode ser aplicada para assegurar que não irá ocorrer uma falha por fadiga.
Considere um fator de segurança de 2,0 e que a distância entre os pontos de aplicação de carga seja de 51,5+-0,1 mm.
Dados: Limite de resistência à fadiga 500MPa;
Tensão máxima para ensaios
giratórios com dobramento

Provas
Caderno Container