Foram encontradas 215 questões.
1038676
Ano: 2014
Disciplina: Administração Financeira e Orçamentária
Banca: IDECAN
Orgão: Col. Pedro II
Disciplina: Administração Financeira e Orçamentária
Banca: IDECAN
Orgão: Col. Pedro II
Provas:
O Poder Executivo pretende realizar investimento em obras cuja execução ultrapassa o exercício. Diante da situação, é remetido projeto de lei ao Congresso para inserir tais investimentos no Plano Plurianual, haja vista que, anteriormente, ali não constavam. O Princípio Orçamentário no qual se baseia a normatização que exige este procedimento é o da
Provas
Questão presente nas seguintes provas
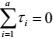
Considere um experimento aleatorizado em blocos completos em que há um fator A com a níveis e um fator de ruído B com b níveis (blocos). Sobre o modelo linear estatístico utilizado para analisar esse experimento, analise.
I. A soma dos efeitos dos níveis do fator A é zero, ou seja,
II. ß j ~ N ( 0,s2ß ) , em que ß j , j = 1, ..., b , é o efeito do nível j do fator B.
III. É importante testar se há efeito de interação entre o fator A e o fator B.
Está(ão) correta(s) apenas a(s) afirmativa(s)
I. A soma dos efeitos dos níveis do fator A é zero, ou seja,

II. ß j ~ N ( 0,s2ß ) , em que ß j , j = 1, ..., b , é o efeito do nível j do fator B.
III. É importante testar se há efeito de interação entre o fator A e o fator B.
Está(ão) correta(s) apenas a(s) afirmativa(s)
Provas
Questão presente nas seguintes provas
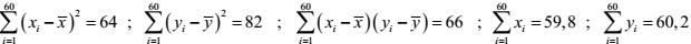
*Considere a informação para responder à questão.
As quantidades a seguir foram obtidas a partir de uma amostra de 60 indivíduos com relação a duas características: X e Y.

Um modelo de regressão linear simples Yi = ß0 + ß1Xi + ε i foi ajustado aos dados. A estimativa de mínimos quadrados para ß1 é As quantidades a seguir foram obtidas a partir de uma amostra de 60 indivíduos com relação a duas características: X e Y.

Provas
Questão presente nas seguintes provas
A complicada arte de ver
Ela entrou, deitou-se no divã e disse: “Acho que estou ficando louca”. Eu fiquei em silêncio aguardando que ela me revelasse os sinais da sua loucura. “Um dos meus prazeres é cozinhar. Vou para a cozinha, corto as cebolas, os tomates, os pimentões - é uma alegria! Entretanto, faz uns dias, eu fui para a cozinha para fazer aquilo que já fizera centenas de vezes: cortar cebolas. Ato banal sem surpresas. Mas, cortada a cebola, eu olhei para ela e tive um susto. Percebi que nunca havia visto uma cebola. Aqueles anéis perfeitamente ajustados, a luz se refletindo neles: tive a impressão de estar vendo a rosácea de um vitral de catedral gótica. De repente, a cebola, de objeto a ser comido, se transformou em obra de arte para ser vista! E o pior é que o mesmo aconteceu quando cortei os tomates, os pimentões... Agora, tudo o que vejo me causa espanto.”
Ela se calou, esperando o meu diagnóstico. Eu me levantei, fui à estante de livros e de lá retirei as “Odes Elementales”, de Pablo Neruda. Procurei a “Ode à Cebola” e lhe disse: “Essa perturbação ocular que a acometeu é comum entre os poetas. Veja o que Neruda disse de uma cebola igual àquela que lhe causou assombro: ‘Rosa de água com escamas de cristal’. Não, você não está louca. Você ganhou olhos de poeta... Os poetas ensinam a ver”.
William Blake sabia disso e afirmou: “A árvore que o sábio vê não é a mesma árvore que o tolo vê”. Sei disso por experiência própria. Quando vejo os ipês floridos, sinto-me como Moisés diante da sarça ardente: ali está uma epifania do sagrado. Mas uma mulher que vivia perto da minha casa decretou a morte de um ipê que florescia à frente de sua casa porque ele sujava o chão, dava muito trabalho para a sua vassoura. Seus olhos não viam a beleza. Só viam o lixo.
(Rubem Alves. Disponível em: http://www.releituras.com/i_airon_rubemalves.asp. Acesso em: 05/2014.)
De acordo com o contexto, é correto afirmar que em “[...] ali está uma epifania do sagrado.” (3º§) o termo destacado possui como significado:Ela entrou, deitou-se no divã e disse: “Acho que estou ficando louca”. Eu fiquei em silêncio aguardando que ela me revelasse os sinais da sua loucura. “Um dos meus prazeres é cozinhar. Vou para a cozinha, corto as cebolas, os tomates, os pimentões - é uma alegria! Entretanto, faz uns dias, eu fui para a cozinha para fazer aquilo que já fizera centenas de vezes: cortar cebolas. Ato banal sem surpresas. Mas, cortada a cebola, eu olhei para ela e tive um susto. Percebi que nunca havia visto uma cebola. Aqueles anéis perfeitamente ajustados, a luz se refletindo neles: tive a impressão de estar vendo a rosácea de um vitral de catedral gótica. De repente, a cebola, de objeto a ser comido, se transformou em obra de arte para ser vista! E o pior é que o mesmo aconteceu quando cortei os tomates, os pimentões... Agora, tudo o que vejo me causa espanto.”
Ela se calou, esperando o meu diagnóstico. Eu me levantei, fui à estante de livros e de lá retirei as “Odes Elementales”, de Pablo Neruda. Procurei a “Ode à Cebola” e lhe disse: “Essa perturbação ocular que a acometeu é comum entre os poetas. Veja o que Neruda disse de uma cebola igual àquela que lhe causou assombro: ‘Rosa de água com escamas de cristal’. Não, você não está louca. Você ganhou olhos de poeta... Os poetas ensinam a ver”.
William Blake sabia disso e afirmou: “A árvore que o sábio vê não é a mesma árvore que o tolo vê”. Sei disso por experiência própria. Quando vejo os ipês floridos, sinto-me como Moisés diante da sarça ardente: ali está uma epifania do sagrado. Mas uma mulher que vivia perto da minha casa decretou a morte de um ipê que florescia à frente de sua casa porque ele sujava o chão, dava muito trabalho para a sua vassoura. Seus olhos não viam a beleza. Só viam o lixo.
(Rubem Alves. Disponível em: http://www.releituras.com/i_airon_rubemalves.asp. Acesso em: 05/2014.)
Provas
Questão presente nas seguintes provas
Cultura e terror
Essa minha ideia de que o homem é, sobretudo, um ser cultural, não deve ser entendida como uma visão idealizada e otimista, pelo simples fato de que isso o distingue dos outros seres naturais.
Se somos seres culturais, se pensamos e com nosso pensamento inventamos os valores que constituem a nossa humanidade, diferimos dos outros animais, que se atêm a sua animalidade e agem conforme suas necessidades vitais imediatas.
Entendo que, ao contrário dos outros animais, o homem nasceu incompleto e, por essa razão, teve de inventar-se e inventar o mundo em que vive. Por exemplo, um bisão ou um tigre nasce com todos os recursos necessários à sua sobrevivência, mas o homem, para caçar o bisão, teve que inventar a lança.
Isso, no plano material. Mas nasceu incompleto também no plano intelectual, porque é o único animal que se pergunta por que nasceu, que sentido tem a existência. Para responder a essas e outras perguntas, inventou a religião, a filosofia, a ciência e a arte.
Assim, construiu, ao longo da história, uma realidade cultural, inventada, que alcança hoje uma complexidade extraordinária e fascinante. O homem deixou de viver na natureza para viver na cidade que foi criada por ele.
Mas, o fato mesmo de se inventar como ser cultural criou-lhe graves problemas, nascidos, em grande parte, daqueles valores culturais. É que, por serem inventados, variam de uma comunidade humana para outra, gerando muitas vezes conflitos insuperáveis. As diversas concepções filosóficas, religiosas, estéticas e políticas podem levar os homens a divergências insuperáveis e até mesmo a conflitos mortais.
Pode ser que me engane, mas a impressão que tenho é de que o homem, por ser essencialmente os seus valores, tem que afirmá-los perante o outro e obter dele sua aceitação. Se o outro não os aceita, sente-se negado em sua própria existência. Daí por que, a tendência, em certos casos, é levá-lo a aceitá-los por bem ou por mal. Chega-se à agressão, à guerra.
Certamente, nem sempre é assim, depende dos indivíduos e das comunidades humanas; depende sobretudo de quais valores os fundamentam.
De modo geral, é no campo da religião e da política que a intolerância se manifesta com maior frequência e radicalismo. A história humana está marcada por esses conflitos, que resultaram muitas vezes em guerras religiosas, com o sacrifício de centenas de milhares de vidas.
Com o desenvolvimento econômico e ampliação do conhecimento científico, a questão religiosa caiu para segundo plano, enquanto o problema ideológico ganhou o centro das atenções.
A questão da riqueza, da desigualdade social e consequentemente da justiça social tornou-se o núcleo dos conflitos entre as classes e o poder político.
Esse fenômeno, que se formou em meados do século XIX, ocuparia todo o século XX, com o surgimento dos Estados socialistas. O ápice desse conflito foi a Guerra Fria, resultante do antagonismo entre os Estados Unidos e a União Soviética.
Surpreendente, porém, é que, em pleno século do desenvolvimento científico e tecnológico, tenha eclodido uma das expressões mais irracionais da intolerância religiosa: o terrorismo islâmico, surgido de uma interpretação fanatizada daquela doutrina.
O terrorismo não nasceu agora mas, a partir do conflito entre judeus e palestinos, lideranças fundamentalistas islâmicas o adotaram como arma de uma guerra santa contra a civilização ocidental, que não segue as palavras sagradas do Corão.
Em consequência disso, homens e mulheres jovens, transformados em bombas humanas, não hesitam em suicidar-se inutilmente, convencidos de que cumprem a vontade de Alá e serão recompensados com o paraíso.
Parece loucura e, de fato, o é, mas diferente da doença psíquica propriamente dita. É uma loucura decorrente do fanatismo político ou religioso, que muda o amor a Deus em ódio aos infiéis.
Embora o Corão condene o assassinato de inocentes, na opinião dos promotores de tais atentados - que matam sobretudo inocentes - só é proibido matar os “nossos” inocentes, como afirmou Bin Laden, não os inocentes “deles”.
Tudo isso mostra que o homem é mesmo um ser cultural, mas que a cultura tanto pode nos transformar em santos como em demônios.
(Ferreira Gullar. Cultura e terror. Folha de São Paulo. Abril/2013. Disponível em: http://www1.folha.uol.com.br/colunas/ferreiragullar/1269134-cultura-e-terror.shtml.)
Provas
Questão presente nas seguintes provas
Trabalhe no que você gosta... e seja mais feliz e bem-sucedido
Você gosta do que faz? De verdade? Seus olhos brilham quando você chega em casa e vai contar para a família como foi seu dia, os projetos que realizou, as metas que atingiu? Se este não é o seu caso, saiba que você não é o único. São poucas as pessoas que encontram realmente paixão naquilo que fazem, mas são justamente elas exemplos de profissionais bem-sucedidos, tanto no campo pessoal quanto no profissional. [...]
A possibilidade de fazer o que se gosta e unir prazer ao trabalho diário pode trazer, além de muita felicidade, entusiasmo e qualidade de vida, ganhos expressivos também financeiramente. É o que afirma Mark Albion, autor do livro “Making a Life, Making a Living”, ainda sem tradução para o português. Albion concedeu recentemente uma entrevista à Revista Você S.A., em que comentou a pesquisa que realizou sobre o assunto. Ele investigou a vida de 1.500 profissionais que obtiveram seu diploma de MBA (Master in Business Administration) nas melhores escolas americanas há 20 anos. Quando fizeram sua primeira opção de emprego após o curso, 83% (1.245 pessoas) afirmaram que ganhariam dinheiro primeiro, para depois fazer o que realmente desejavam. Escolheram o emprego por causa do salário. O restante, 17%, disse que faria aquilo que realmente lhe interessava, independente da questão financeira. Vinte anos depois, os resultados são surpreendentes: entre os 1.500 pesquisados, Albion encontrou 101 multimilionários. Apenas um deles pertence ao primeiro grupo. Os outros 100 faziam parte do segundo, de 255 profissionais que seguiram sua paixão. A experiência mostra que as chances de ficar milionário fazendo o que se gosta são 50 vezes maiores de quem trabalha apenas para ganhar dinheiro.
O fato é que esse conceito de trabalhar fazendo o que gosta é relativamente novo. Até meados da década de 80, o trabalho era visto como uma forma de ganhar dinheiro - e só. “As pessoas escolhiam que carreira seguir pensando nas possibilidades de ganhar mais, sem saber que na verdade o dinheiro é só uma consequência de um trabalho bem feito, principalmente quando é feito com prazer”, analisa a psicóloga Rosângela Casseano. Somente nos últimos anos as pessoas começaram a ter uma preocupação maior com as suas carreiras e verdadeiros interesses profissionais, o que levou a uma procura por testes vocacionais e terapeutas que trabalhem com orientação profissional. “Hoje já existe uma infinidade de serviços para orientar os recém-formados e quem quiser informações sobre carreiras e profissões: são sites, universidades, pesquisas e estudos, terapeutas. Você tem menos chances de errar e fazer aquilo que não gosta”, diz Rosângela.
(Camila Micheletti. Disponível em: http://carreiras.empregos.com.br. Acesso em: 05/2014. Adaptado.)
Em “A experiência mostra que as chances de ficar milionário fazendo o que se gosta são 50 vezes maiores de quem trabalha apenas para ganhar dinheiro.” (2º§) há um problema de coesão textual no fragmento: Você gosta do que faz? De verdade? Seus olhos brilham quando você chega em casa e vai contar para a família como foi seu dia, os projetos que realizou, as metas que atingiu? Se este não é o seu caso, saiba que você não é o único. São poucas as pessoas que encontram realmente paixão naquilo que fazem, mas são justamente elas exemplos de profissionais bem-sucedidos, tanto no campo pessoal quanto no profissional. [...]
A possibilidade de fazer o que se gosta e unir prazer ao trabalho diário pode trazer, além de muita felicidade, entusiasmo e qualidade de vida, ganhos expressivos também financeiramente. É o que afirma Mark Albion, autor do livro “Making a Life, Making a Living”, ainda sem tradução para o português. Albion concedeu recentemente uma entrevista à Revista Você S.A., em que comentou a pesquisa que realizou sobre o assunto. Ele investigou a vida de 1.500 profissionais que obtiveram seu diploma de MBA (Master in Business Administration) nas melhores escolas americanas há 20 anos. Quando fizeram sua primeira opção de emprego após o curso, 83% (1.245 pessoas) afirmaram que ganhariam dinheiro primeiro, para depois fazer o que realmente desejavam. Escolheram o emprego por causa do salário. O restante, 17%, disse que faria aquilo que realmente lhe interessava, independente da questão financeira. Vinte anos depois, os resultados são surpreendentes: entre os 1.500 pesquisados, Albion encontrou 101 multimilionários. Apenas um deles pertence ao primeiro grupo. Os outros 100 faziam parte do segundo, de 255 profissionais que seguiram sua paixão. A experiência mostra que as chances de ficar milionário fazendo o que se gosta são 50 vezes maiores de quem trabalha apenas para ganhar dinheiro.
O fato é que esse conceito de trabalhar fazendo o que gosta é relativamente novo. Até meados da década de 80, o trabalho era visto como uma forma de ganhar dinheiro - e só. “As pessoas escolhiam que carreira seguir pensando nas possibilidades de ganhar mais, sem saber que na verdade o dinheiro é só uma consequência de um trabalho bem feito, principalmente quando é feito com prazer”, analisa a psicóloga Rosângela Casseano. Somente nos últimos anos as pessoas começaram a ter uma preocupação maior com as suas carreiras e verdadeiros interesses profissionais, o que levou a uma procura por testes vocacionais e terapeutas que trabalhem com orientação profissional. “Hoje já existe uma infinidade de serviços para orientar os recém-formados e quem quiser informações sobre carreiras e profissões: são sites, universidades, pesquisas e estudos, terapeutas. Você tem menos chances de errar e fazer aquilo que não gosta”, diz Rosângela.
(Camila Micheletti. Disponível em: http://carreiras.empregos.com.br. Acesso em: 05/2014. Adaptado.)
Provas
Questão presente nas seguintes provas
Cultura e terror
Essa minha ideia de que o homem é, sobretudo, um ser cultural, não deve ser entendida como uma visão idealizada e otimista, pelo simples fato de que isso o distingue dos outros seres naturais.
Se somos seres culturais, se pensamos e com nosso pensamento inventamos os valores que constituem a nossa humanidade, diferimos dos outros animais, que se atêm a sua animalidade e agem conforme suas necessidades vitais imediatas.
Entendo que, ao contrário dos outros animais, o homem nasceu incompleto e, por essa razão, teve de inventar-se e inventar o mundo em que vive. Por exemplo, um bisão ou um tigre nasce com todos os recursos necessários à sua sobrevivência, mas o homem, para caçar o bisão, teve que inventar a lança.
Isso, no plano material. Mas nasceu incompleto também no plano intelectual, porque é o único animal que se pergunta por que nasceu, que sentido tem a existência. Para responder a essas e outras perguntas, inventou a religião, a filosofia, a ciência e a arte.
Assim, construiu, ao longo da história, uma realidade cultural, inventada, que alcança hoje uma complexidade extraordinária e fascinante. O homem deixou de viver na natureza para viver na cidade que foi criada por ele.
Mas, o fato mesmo de se inventar como ser cultural criou-lhe graves problemas, nascidos, em grande parte, daqueles valores culturais. É que, por serem inventados, variam de uma comunidade humana para outra, gerando muitas vezes conflitos insuperáveis. As diversas concepções filosóficas, religiosas, estéticas e políticas podem levar os homens a divergências insuperáveis e até mesmo a conflitos mortais.
Pode ser que me engane, mas a impressão que tenho é de que o homem, por ser essencialmente os seus valores, tem que afirmá-los perante o outro e obter dele sua aceitação. Se o outro não os aceita, sente-se negado em sua própria existência. Daí por que, a tendência, em certos casos, é levá-lo a aceitá-los por bem ou por mal. Chega-se à agressão, à guerra.
Certamente, nem sempre é assim, depende dos indivíduos e das comunidades humanas; depende sobretudo de quais valores os fundamentam.
De modo geral, é no campo da religião e da política que a intolerância se manifesta com maior frequência e radicalismo. A história humana está marcada por esses conflitos, que resultaram muitas vezes em guerras religiosas, com o sacrifício de centenas de milhares de vidas.
Com o desenvolvimento econômico e ampliação do conhecimento científico, a questão religiosa caiu para segundo plano, enquanto o problema ideológico ganhou o centro das atenções.
A questão da riqueza, da desigualdade social e consequentemente da justiça social tornou-se o núcleo dos conflitos entre as classes e o poder político.
Esse fenômeno, que se formou em meados do século XIX, ocuparia todo o século XX, com o surgimento dos Estados socialistas. O ápice desse conflito foi a Guerra Fria, resultante do antagonismo entre os Estados Unidos e a União Soviética.
Surpreendente, porém, é que, em pleno século do desenvolvimento científico e tecnológico, tenha eclodido uma das expressões mais irracionais da intolerância religiosa: o terrorismo islâmico, surgido de uma interpretação fanatizada daquela doutrina.
O terrorismo não nasceu agora mas, a partir do conflito entre judeus e palestinos, lideranças fundamentalistas islâmicas o adotaram como arma de uma guerra santa contra a civilização ocidental, que não segue as palavras sagradas do Corão.
Em consequência disso, homens e mulheres jovens, transformados em bombas humanas, não hesitam em suicidar-se inutilmente, convencidos de que cumprem a vontade de Alá e serão recompensados com o paraíso.
Parece loucura e, de fato, o é, mas diferente da doença psíquica propriamente dita. É uma loucura decorrente do fanatismo político ou religioso, que muda o amor a Deus em ódio aos infiéis.
Embora o Corão condene o assassinato de inocentes, na opinião dos promotores de tais atentados - que matam sobretudo inocentes - só é proibido matar os “nossos” inocentes, como afirmou Bin Laden, não os inocentes “deles”.
Tudo isso mostra que o homem é mesmo um ser cultural, mas que a cultura tanto pode nos transformar em santos como em demônios.
(Ferreira Gullar. Cultura e terror. Folha de São Paulo. Abril/2013. Disponível em: http://www1.folha.uol.com.br/colunas/ferreiragullar/1269134-cultura-e-terror.shtml.)
I. “[...] uma das expressões mais irracionais da intolerância religiosa: o terrorismo islâmico, [...]” (13º§)
II. “[...] na opinião dos promotores de tais atentados – que matam sobretudo inocentes – [...]” (17º§)
De acordo com o contexto, eles foram usados para
Provas
Questão presente nas seguintes provas
A complicada arte de ver
Ela entrou, deitou-se no divã e disse: “Acho que estou ficando louca”. Eu fiquei em silêncio aguardando que ela me revelasse os sinais da sua loucura. “Um dos meus prazeres é cozinhar. Vou para a cozinha, corto as cebolas, os tomates, os pimentões - é uma alegria! Entretanto, faz uns dias, eu fui para a cozinha para fazer aquilo que já fizera centenas de vezes: cortar cebolas. Ato banal sem surpresas. Mas, cortada a cebola, eu olhei para ela e tive um susto. Percebi que nunca havia visto uma cebola. Aqueles anéis perfeitamente ajustados, a luz se refletindo neles: tive a impressão de estar vendo a rosácea de um vitral de catedral gótica. De repente, a cebola, de objeto a ser comido, se transformou em obra de arte para ser vista! E o pior é que o mesmo aconteceu quando cortei os tomates, os pimentões... Agora, tudo o que vejo me causa espanto.”
Ela se calou, esperando o meu diagnóstico. Eu me levantei, fui à estante de livros e de lá retirei as “Odes Elementales”, de Pablo Neruda. Procurei a “Ode à Cebola” e lhe disse: “Essa perturbação ocular que a acometeu é comum entre os poetas. Veja o que Neruda disse de uma cebola igual àquela que lhe causou assombro: ‘Rosa de água com escamas de cristal’. Não, você não está louca. Você ganhou olhos de poeta... Os poetas ensinam a ver”.
William Blake sabia disso e afirmou: “A árvore que o sábio vê não é a mesma árvore que o tolo vê”. Sei disso por experiência própria. Quando vejo os ipês floridos, sinto-me como Moisés diante da sarça ardente: ali está uma epifania do sagrado. Mas uma mulher que vivia perto da minha casa decretou a morte de um ipê que florescia à frente de sua casa porque ele sujava o chão, dava muito trabalho para a sua vassoura. Seus olhos não viam a beleza. Só viam o lixo.
(Rubem Alves. Disponível em: http://www.releituras.com/i_airon_rubemalves.asp. Acesso em: 05/2014.)
No último parágrafo do texto transcrito, o narrador constrói uma imagem para explicar a citação “A árvore que o sábio vê não é a mesma árvore que o tolo vê.” em que um fato bíblico é mencionado. É correto afirmar que em “Quando vejo os ipês floridos, sinto-me como Moisés diante da sarça ardente: [...]” ocorre, principalmente, Ela entrou, deitou-se no divã e disse: “Acho que estou ficando louca”. Eu fiquei em silêncio aguardando que ela me revelasse os sinais da sua loucura. “Um dos meus prazeres é cozinhar. Vou para a cozinha, corto as cebolas, os tomates, os pimentões - é uma alegria! Entretanto, faz uns dias, eu fui para a cozinha para fazer aquilo que já fizera centenas de vezes: cortar cebolas. Ato banal sem surpresas. Mas, cortada a cebola, eu olhei para ela e tive um susto. Percebi que nunca havia visto uma cebola. Aqueles anéis perfeitamente ajustados, a luz se refletindo neles: tive a impressão de estar vendo a rosácea de um vitral de catedral gótica. De repente, a cebola, de objeto a ser comido, se transformou em obra de arte para ser vista! E o pior é que o mesmo aconteceu quando cortei os tomates, os pimentões... Agora, tudo o que vejo me causa espanto.”
Ela se calou, esperando o meu diagnóstico. Eu me levantei, fui à estante de livros e de lá retirei as “Odes Elementales”, de Pablo Neruda. Procurei a “Ode à Cebola” e lhe disse: “Essa perturbação ocular que a acometeu é comum entre os poetas. Veja o que Neruda disse de uma cebola igual àquela que lhe causou assombro: ‘Rosa de água com escamas de cristal’. Não, você não está louca. Você ganhou olhos de poeta... Os poetas ensinam a ver”.
William Blake sabia disso e afirmou: “A árvore que o sábio vê não é a mesma árvore que o tolo vê”. Sei disso por experiência própria. Quando vejo os ipês floridos, sinto-me como Moisés diante da sarça ardente: ali está uma epifania do sagrado. Mas uma mulher que vivia perto da minha casa decretou a morte de um ipê que florescia à frente de sua casa porque ele sujava o chão, dava muito trabalho para a sua vassoura. Seus olhos não viam a beleza. Só viam o lixo.
(Rubem Alves. Disponível em: http://www.releituras.com/i_airon_rubemalves.asp. Acesso em: 05/2014.)
Provas
Questão presente nas seguintes provas
Cultura e terror
Essa minha ideia de que o homem é, sobretudo, um ser cultural, não deve ser entendida como uma visão idealizada e otimista, pelo simples fato de que isso o distingue dos outros seres naturais.
Se somos seres culturais, se pensamos e com nosso pensamento inventamos os valores que constituem a nossa humanidade, diferimos dos outros animais, que se atêm a sua animalidade e agem conforme suas necessidades vitais imediatas.
Entendo que, ao contrário dos outros animais, o homem nasceu incompleto e, por essa razão, teve de inventar-se e inventar o mundo em que vive. Por exemplo, um bisão ou um tigre nasce com todos os recursos necessários à sua sobrevivência, mas o homem, para caçar o bisão, teve que inventar a lança.
Isso, no plano material. Mas nasceu incompleto também no plano intelectual, porque é o único animal que se pergunta por que nasceu, que sentido tem a existência. Para responder a essas e outras perguntas, inventou a religião, a filosofia, a ciência e a arte.
Assim, construiu, ao longo da história, uma realidade cultural, inventada, que alcança hoje uma complexidade extraordinária e fascinante. O homem deixou de viver na natureza para viver na cidade que foi criada por ele.
Mas, o fato mesmo de se inventar como ser cultural criou-lhe graves problemas, nascidos, em grande parte, daqueles valores culturais. É que, por serem inventados, variam de uma comunidade humana para outra, gerando muitas vezes conflitos insuperáveis. As diversas concepções filosóficas, religiosas, estéticas e políticas podem levar os homens a divergências insuperáveis e até mesmo a conflitos mortais.
Pode ser que me engane, mas a impressão que tenho é de que o homem, por ser essencialmente os seus valores, tem que afirmá-los perante o outro e obter dele sua aceitação. Se o outro não os aceita, sente-se negado em sua própria existência. Daí por que, a tendência, em certos casos, é levá-lo a aceitá-los por bem ou por mal. Chega-se à agressão, à guerra.
Certamente, nem sempre é assim, depende dos indivíduos e das comunidades humanas; depende sobretudo de quais valores os fundamentam.
De modo geral, é no campo da religião e da política que a intolerância se manifesta com maior frequência e radicalismo. A história humana está marcada por esses conflitos, que resultaram muitas vezes em guerras religiosas, com o sacrifício de centenas de milhares de vidas.
Com o desenvolvimento econômico e ampliação do conhecimento científico, a questão religiosa caiu para segundo plano, enquanto o problema ideológico ganhou o centro das atenções.
A questão da riqueza, da desigualdade social e consequentemente da justiça social tornou-se o núcleo dos conflitos entre as classes e o poder político.
Esse fenômeno, que se formou em meados do século XIX, ocuparia todo o século XX, com o surgimento dos Estados socialistas. O ápice desse conflito foi a Guerra Fria, resultante do antagonismo entre os Estados Unidos e a União Soviética.
Surpreendente, porém, é que, em pleno século do desenvolvimento científico e tecnológico, tenha eclodido uma das expressões mais irracionais da intolerância religiosa: o terrorismo islâmico, surgido de uma interpretação fanatizada daquela doutrina.
O terrorismo não nasceu agora mas, a partir do conflito entre judeus e palestinos, lideranças fundamentalistas islâmicas o adotaram como arma de uma guerra santa contra a civilização ocidental, que não segue as palavras sagradas do Corão.
Em consequência disso, homens e mulheres jovens, transformados em bombas humanas, não hesitam em suicidar-se inutilmente, convencidos de que cumprem a vontade de Alá e serão recompensados com o paraíso.
Parece loucura e, de fato, o é, mas diferente da doença psíquica propriamente dita. É uma loucura decorrente do fanatismo político ou religioso, que muda o amor a Deus em ódio aos infiéis.
Embora o Corão condene o assassinato de inocentes, na opinião dos promotores de tais atentados - que matam sobretudo inocentes - só é proibido matar os “nossos” inocentes, como afirmou Bin Laden, não os inocentes “deles”.
Tudo isso mostra que o homem é mesmo um ser cultural, mas que a cultura tanto pode nos transformar em santos como em demônios.
(Ferreira Gullar. Cultura e terror. Folha de São Paulo. Abril/2013. Disponível em: http://www1.folha.uol.com.br/colunas/ferreiragullar/1269134-cultura-e-terror.shtml.)
Provas
Questão presente nas seguintes provas

Provas
Questão presente nas seguintes provas
Cadernos
Caderno Container