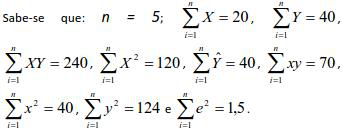
Foram encontradas 80 questões.

Provas
) e y = ( Y -
) e sabendo que
são os parâmetros estimados e
o valor ajustado. 
Com base nos dados acima, assinale a alternativa correta.
Provas
Perda de oportunidades no trabalho
As empresas vinculadas ao setor de
petróleo no Brasil treinaram e formaram mais de
mil profissionais desde 2007, em um programa
de qualificação que abrange do nível básico a
cursos de pós-graduação. Mesmo assim, não
conseguiram atender a toda a demanda de pessoal
qualificado identificada pelo setor. A exemplo do
petróleo, vários outros ramos de atividade
industrial, da construção ou de serviços têm se
envolvido diretamente na formação e treinamento
de profissionais que não estão disponíveis no
mercado.
Nem por isso os índices de desemprego se
tornaram irrelevantes no país. Há muitas pessoas
que permanecem sem ocupação por serem
inabilitadas às vagas e aos cargos que o mercado
oferece. São numerosas oportunidades perdidas
que se multiplicarão, se a economia brasileira
continuar com seu impulso de crescimento – e a
qualidade da educação continuar baixa. Afinal, a
dificuldade de se formar e qualificar profissionais
na velocidade que o mercado hoje demanda se
deve, em grande parte, a deficiências do sistema de
ensino brasileiro.
Um enorme contingente de jovens deixa as
escolas ainda com falta de capacidade de aprender.
O ensino técnico profissionalizante, com honrosas
exceções, passou anos sem sintonia com o mundo
real. A escassez de profissionais qualificados vem
forçando uma transformação nesse sistema de
ensino, e algumas iniciativas inovadoras começam
a apresentar resultados, o que pode motivar a
reprodução dessa experiência pelo país inteiro. No
caso do Estado do Rio, merecem atenção os
chamados Centros de Vocação Tecnológica, mais
voltados para jovens da região metropolitana.
Esses centros se diferem do ensino técnico
convencional porque ministram cursos de curta
duração (de dois meses a um ano, essencialmente)
e buscam atender a demandas específicas de
grupos de empresas localizadas em suas
proximidades. Os planos das autoridades
responsáveis por esses centros são de ampliar o
número de vagas para 54 mil alunos ainda este
ano.
O ensino técnico profissionalizante de fato
precisa hoje correr contra o relógio, pois, se
persistir a falta de pessoal qualificado, as
oportunidades acabam definitivamente perdidas
pela desistência dos potenciais empregadores.
Mas, simultaneamente a essa premência de
curto prazo, espera-se que a cadeia de ensino no
país, da pré-escola à universidade, acelere ou
implante programas que possibilitem um
substancial salto de qualidade. Educadores já
contam com ferramentas pedagógicas e
tecnológicas que facilitam essa aceleração. O
ensino a distância, mais acessível graças às
telecomunicações e aos recursos da informática,
pode romper barreiras que antes impediam a
universalização de um sistema educacional de boa
qualidade.
O aproveitamento das oportunidades que
estão surgindo é valioso porque, além da realização
pessoal na vida profissional, é um atalho para
melhora dos níveis de renda e de bem-estar de
fatias cada vez maiores da população brasileira.
Ao lado dos indicadores macroeconômicos,
precisamos acompanhar os referentes ao sistema
de ensino em geral, e, especificamente, os relativos
ao ensino profissionalizante. Sem melhorar a
educação pública, milhões continuarão prisioneiros
do assistencialismo, e as empresas, desassistidas.
(O Globo, 28/04/2010)
A respeito da pontuação do período acima, analise as afirmativas a seguir:
I. A segunda vírgula se justifica por separar sujeitos de orações diferentes.
II. A terceira vírgula é caso de zeugma.
III. Ao se retirar o E do período, no lugar da vírgula imediatamente anterior a ele seria melhor vir um ponto e vírgula.
Assinale
Provas
Perda de oportunidades no trabalho
As empresas vinculadas ao setor de
petróleo no Brasil treinaram e formaram mais de
mil profissionais desde 2007, em um programa
de qualificação que abrange do nível básico a
cursos de pós-graduação. Mesmo assim, não
conseguiram atender a toda a demanda de pessoal
qualificado identificada pelo setor. A exemplo do
petróleo, vários outros ramos de atividade
industrial, da construção ou de serviços têm se
envolvido diretamente na formação e treinamento
de profissionais que não estão disponíveis no
mercado.
Nem por isso os índices de desemprego se
tornaram irrelevantes no país. Há muitas pessoas
que permanecem sem ocupação por serem
inabilitadas às vagas e aos cargos que o mercado
oferece. São numerosas oportunidades perdidas
que se multiplicarão, se a economia brasileira
continuar com seu impulso de crescimento – e a
qualidade da educação continuar baixa. Afinal, a
dificuldade de se formar e qualificar profissionais
na velocidade que o mercado hoje demanda se
deve, em grande parte, a deficiências do sistema de
ensino brasileiro.
Um enorme contingente de jovens deixa as
escolas ainda com falta de capacidade de aprender.
O ensino técnico profissionalizante, com honrosas
exceções, passou anos sem sintonia com o mundo
real. A escassez de profissionais qualificados vem
forçando uma transformação nesse sistema de
ensino, e algumas iniciativas inovadoras começam
a apresentar resultados, o que pode motivar a
reprodução dessa experiência pelo país inteiro. No
caso do Estado do Rio, merecem atenção os
chamados Centros de Vocação Tecnológica, mais
voltados para jovens da região metropolitana.
Esses centros se diferem do ensino técnico
convencional porque ministram cursos de curta
duração (de dois meses a um ano, essencialmente)
e buscam atender a demandas específicas de
grupos de empresas localizadas em suas
proximidades. Os planos das autoridades
responsáveis por esses centros são de ampliar o
número de vagas para 54 mil alunos ainda este
ano.
O ensino técnico profissionalizante de fato
precisa hoje correr contra o relógio, pois, se
persistir a falta de pessoal qualificado, as
oportunidades acabam definitivamente perdidas
pela desistência dos potenciais empregadores.
Mas, simultaneamente a essa premência de
curto prazo, espera-se que a cadeia de ensino no
país, da pré-escola à universidade, acelere ou
implante programas que possibilitem um
substancial salto de qualidade. Educadores já
contam com ferramentas pedagógicas e
tecnológicas que facilitam essa aceleração. O
ensino a distância, mais acessível graças às
telecomunicações e aos recursos da informática,
pode romper barreiras que antes impediam a
universalização de um sistema educacional de boa
qualidade.
O aproveitamento das oportunidades que
estão surgindo é valioso porque, além da realização
pessoal na vida profissional, é um atalho para
melhora dos níveis de renda e de bem-estar de
fatias cada vez maiores da população brasileira.
Ao lado dos indicadores macroeconômicos,
precisamos acompanhar os referentes ao sistema
de ensino em geral, e, especificamente, os relativos
ao ensino profissionalizante. Sem melhorar a
educação pública, milhões continuarão prisioneiros
do assistencialismo, e as empresas, desassistidas.
(O Globo, 28/04/2010)
Provas
- OrtografiaProblemas da Norma CultaUso dos "porquês"
- SemânticaSinônimos e Antônimos
- Interpretação de Textos
Perda de oportunidades no trabalho
As empresas vinculadas ao setor de
petróleo no Brasil treinaram e formaram mais de
mil profissionais desde 2007, em um programa
de qualificação que abrange do nível básico a
cursos de pós-graduação. Mesmo assim, não
conseguiram atender a toda a demanda de pessoal
qualificado identificada pelo setor. A exemplo do
petróleo, vários outros ramos de atividade
industrial, da construção ou de serviços têm se
envolvido diretamente na formação e treinamento
de profissionais que não estão disponíveis no
mercado.
Nem por isso os índices de desemprego se
tornaram irrelevantes no país. Há muitas pessoas
que permanecem sem ocupação por serem
inabilitadas às vagas e aos cargos que o mercado
oferece. São numerosas oportunidades perdidas
que se multiplicarão, se a economia brasileira
continuar com seu impulso de crescimento – e a
qualidade da educação continuar baixa. Afinal, a
dificuldade de se formar e qualificar profissionais
na velocidade que o mercado hoje demanda se
deve, em grande parte, a deficiências do sistema de
ensino brasileiro.
Um enorme contingente de jovens deixa as
escolas ainda com falta de capacidade de aprender.
O ensino técnico profissionalizante, com honrosas
exceções, passou anos sem sintonia com o mundo
real. A escassez de profissionais qualificados vem
forçando uma transformação nesse sistema de
ensino, e algumas iniciativas inovadoras começam
a apresentar resultados, o que pode motivar a
reprodução dessa experiência pelo país inteiro. No
caso do Estado do Rio, merecem atenção os
chamados Centros de Vocação Tecnológica, mais
voltados para jovens da região metropolitana.
Esses centros se diferem do ensino técnico
convencional porque ministram cursos de curta
duração (de dois meses a um ano, essencialmente)
e buscam atender a demandas específicas de
grupos de empresas localizadas em suas
proximidades. Os planos das autoridades
responsáveis por esses centros são de ampliar o
número de vagas para 54 mil alunos ainda este
ano.
O ensino técnico profissionalizante de fato
precisa hoje correr contra o relógio, pois, se
persistir a falta de pessoal qualificado, as
oportunidades acabam definitivamente perdidas
pela desistência dos potenciais empregadores.
Mas, simultaneamente a essa premência de
curto prazo, espera-se que a cadeia de ensino no
país, da pré-escola à universidade, acelere ou
implante programas que possibilitem um
substancial salto de qualidade. Educadores já
contam com ferramentas pedagógicas e
tecnológicas que facilitam essa aceleração. O
ensino a distância, mais acessível graças às
telecomunicações e aos recursos da informática,
pode romper barreiras que antes impediam a
universalização de um sistema educacional de boa
qualidade.
O aproveitamento das oportunidades que
estão surgindo é valioso porque, além da realização
pessoal na vida profissional, é um atalho para
melhora dos níveis de renda e de bem-estar de
fatias cada vez maiores da população brasileira.
Ao lado dos indicadores macroeconômicos,
precisamos acompanhar os referentes ao sistema
de ensino em geral, e, especificamente, os relativos
ao ensino profissionalizante. Sem melhorar a
educação pública, milhões continuarão prisioneiros
do assistencialismo, e as empresas, desassistidas.
(O Globo, 28/04/2010)
No trecho acima, empregou-se corretamente uma das formas do porquê. Assinale a alternativa em que isso NÃO tenha ocorrido.
Provas

Provas

I. No primeiro quadrinho há uma ambiguidade que não interfere no entendimento global do texto.
II. Pode-se depreender que o rapaz anda envolvido com estudo e provas, provavelmente vestibulares.
III. Pode-se inferir que o rapaz dissimulou e não respondeu ao questionamento da moça.
Assinale
Provas

Provas
Perda de oportunidades no trabalho
As empresas vinculadas ao setor de
petróleo no Brasil treinaram e formaram mais de
mil profissionais desde 2007, em um programa
de qualificação que abrange do nível básico a
cursos de pós-graduação. Mesmo assim, não
conseguiram atender a toda a demanda de pessoal
qualificado identificada pelo setor. A exemplo do
petróleo, vários outros ramos de atividade
industrial, da construção ou de serviços têm se
envolvido diretamente na formação e treinamento
de profissionais que não estão disponíveis no
mercado.
Nem por isso os índices de desemprego se
tornaram irrelevantes no país. Há muitas pessoas
que permanecem sem ocupação por serem
inabilitadas às vagas e aos cargos que o mercado
oferece. São numerosas oportunidades perdidas
que se multiplicarão, se a economia brasileira
continuar com seu impulso de crescimento – e a
qualidade da educação continuar baixa. Afinal, a
dificuldade de se formar e qualificar profissionais
na velocidade que o mercado hoje demanda se
deve, em grande parte, a deficiências do sistema de
ensino brasileiro.
Um enorme contingente de jovens deixa as
escolas ainda com falta de capacidade de aprender.
O ensino técnico profissionalizante, com honrosas
exceções, passou anos sem sintonia com o mundo
real. A escassez de profissionais qualificados vem
forçando uma transformação nesse sistema de
ensino, e algumas iniciativas inovadoras começam
a apresentar resultados, o que pode motivar a
reprodução dessa experiência pelo país inteiro. No
caso do Estado do Rio, merecem atenção os
chamados Centros de Vocação Tecnológica, mais
voltados para jovens da região metropolitana.
Esses centros se diferem do ensino técnico
convencional porque ministram cursos de curta
duração (de dois meses a um ano, essencialmente)
e buscam atender a demandas específicas de
grupos de empresas localizadas em suas
proximidades. Os planos das autoridades
responsáveis por esses centros são de ampliar o
número de vagas para 54 mil alunos ainda este
ano.
O ensino técnico profissionalizante de fato
precisa hoje correr contra o relógio, pois, se
persistir a falta de pessoal qualificado, as
oportunidades acabam definitivamente perdidas
pela desistência dos potenciais empregadores.
Mas, simultaneamente a essa premência de
curto prazo, espera-se que a cadeia de ensino no
país, da pré-escola à universidade, acelere ou
implante programas que possibilitem um
substancial salto de qualidade. Educadores já
contam com ferramentas pedagógicas e
tecnológicas que facilitam essa aceleração. O
ensino a distância, mais acessível graças às
telecomunicações e aos recursos da informática,
pode romper barreiras que antes impediam a
universalização de um sistema educacional de boa
qualidade.
O aproveitamento das oportunidades que
estão surgindo é valioso porque, além da realização
pessoal na vida profissional, é um atalho para
melhora dos níveis de renda e de bem-estar de
fatias cada vez maiores da população brasileira.
Ao lado dos indicadores macroeconômicos,
precisamos acompanhar os referentes ao sistema
de ensino em geral, e, especificamente, os relativos
ao ensino profissionalizante. Sem melhorar a
educação pública, milhões continuarão prisioneiros
do assistencialismo, e as empresas, desassistidas.
(O Globo, 28/04/2010)
O termo sublinhado no período acima exerce a função sintática de
Provas
Perda de oportunidades no trabalho
As empresas vinculadas ao setor de
petróleo no Brasil treinaram e formaram mais de
mil profissionais desde 2007, em um programa
de qualificação que abrange do nível básico a
cursos de pós-graduação. Mesmo assim, não
conseguiram atender a toda a demanda de pessoal
qualificado identificada pelo setor. A exemplo do
petróleo, vários outros ramos de atividade
industrial, da construção ou de serviços têm se
envolvido diretamente na formação e treinamento
de profissionais que não estão disponíveis no
mercado.
Nem por isso os índices de desemprego se
tornaram irrelevantes no país. Há muitas pessoas
que permanecem sem ocupação por serem
inabilitadas às vagas e aos cargos que o mercado
oferece. São numerosas oportunidades perdidas
que se multiplicarão, se a economia brasileira
continuar com seu impulso de crescimento – e a
qualidade da educação continuar baixa. Afinal, a
dificuldade de se formar e qualificar profissionais
na velocidade que o mercado hoje demanda se
deve, em grande parte, a deficiências do sistema de
ensino brasileiro.
Um enorme contingente de jovens deixa as
escolas ainda com falta de capacidade de aprender.
O ensino técnico profissionalizante, com honrosas
exceções, passou anos sem sintonia com o mundo
real. A escassez de profissionais qualificados vem
forçando uma transformação nesse sistema de
ensino, e algumas iniciativas inovadoras começam
a apresentar resultados, o que pode motivar a
reprodução dessa experiência pelo país inteiro. No
caso do Estado do Rio, merecem atenção os
chamados Centros de Vocação Tecnológica, mais
voltados para jovens da região metropolitana.
Esses centros se diferem do ensino técnico
convencional porque ministram cursos de curta
duração (de dois meses a um ano, essencialmente)
e buscam atender a demandas específicas de
grupos de empresas localizadas em suas
proximidades. Os planos das autoridades
responsáveis por esses centros são de ampliar o
número de vagas para 54 mil alunos ainda este
ano.
O ensino técnico profissionalizante de fato
precisa hoje correr contra o relógio, pois, se
persistir a falta de pessoal qualificado, as
oportunidades acabam definitivamente perdidas
pela desistência dos potenciais empregadores.
Mas, simultaneamente a essa premência de
curto prazo, espera-se que a cadeia de ensino no
país, da pré-escola à universidade, acelere ou
implante programas que possibilitem um
substancial salto de qualidade. Educadores já
contam com ferramentas pedagógicas e
tecnológicas que facilitam essa aceleração. O
ensino a distância, mais acessível graças às
telecomunicações e aos recursos da informática,
pode romper barreiras que antes impediam a
universalização de um sistema educacional de boa
qualidade.
O aproveitamento das oportunidades que
estão surgindo é valioso porque, além da realização
pessoal na vida profissional, é um atalho para
melhora dos níveis de renda e de bem-estar de
fatias cada vez maiores da população brasileira.
Ao lado dos indicadores macroeconômicos,
precisamos acompanhar os referentes ao sistema
de ensino em geral, e, especificamente, os relativos
ao ensino profissionalizante. Sem melhorar a
educação pública, milhões continuarão prisioneiros
do assistencialismo, e as empresas, desassistidas.
(O Globo, 28/04/2010)
Assinale a alternativa que, com a alteração do trecho acima, manteve integridade semântica em relação ao texto mas NÃO apresentou correção gramatical do ponto de vista do português brasileiro contemporâneo.
Provas
Caderno Container