Foram encontradas 175 questões.
Uma obra pública foi orçada em R$ 5.000.000,00 (cinco milhões de reais) para ser executada em seis meses. Para tanto, a obra foi dividida em cinco atividades. A primeira atividade corresponde a 36% do montante a ser recebido; a segunda, 30%; a terceira atividade, 12% do montante; e, a quarta e a quinta atividades, respectivamente, 10% e 12%. A distribuição das atividades está apresentada no cronograma a seguir:

Com base no cronograma financeiro, é correto afirmar que o faturamento
Provas
Provas
De acordo com a Norma Brasileira 13752/1996 – Perícias de engenharia na construção civil, as perícias podem ser divididas em: arbitramento, avaliações, exames, vistorias, entre outras. Acerca dos termos citados, relacione adequadamente as colunas.

A sequência está correta em
Provas
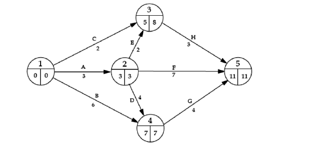
Uma das atividades mais importantes e complicadas na gestão da Construção Civil é a do Planejamento e controle do tempo de execução da obra. Na figura a seguir tem-se um diagrama de rede denominado PERT-CPM.

De acordo com a figura e os conceitos da Rede PERT-CPM, assinale a alternativa INCORRETA.
Provas
Provas
Observe a viga sem peso próprio representada a seguir.

O valor do momento fletor no ponto B de aplicação da força P e do esforço cortante no ponto A são, respectivamente,
Provas
Provas
Para que uma estrutura seja realmente estática, é necessário que a mesma esteja totalmente em equilíbrio. Para tanto, uma questão importante é o momento das forças atuantes na estrutura. Considere a figura a seguir que representa uma barra de L (em metros) submetida à ação de duas forças, de 400N e 600N, suportada por um pino articulado.

É correto afirmar que, sendo L = 10,0 m, para que exista equilíbrio, a e b serão, respectivamente, iguais a
Provas
Disciplina: Segurança e Saúde no Trabalho (SST)
Banca: Consulplan
Orgão: CODERN
Provas
Com base na Resolução CONAMA nº 237/97, o Licenciamento Ambiental pode ser realizado pelo IBAMA ou pelos órgãos ambientais estaduais ou do Distrito Federal. Relacione adequadamente as responsabilidades pelo licenciamento ambiental.

A sequência está correta em
Provas
Caderno Container