Foram encontradas 39 questões.
Uma das utilidades do comando grep é encontrar linhas que possuam determinadas strings em arquivos. Um usuário de sistema operacional Linux quer identificar quais são os números das linhas do arquivo file.txt que possuem a palavra data. Para tal, ele pode digitar no terminal o comando:
Provas
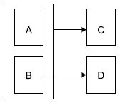
Considerando o modelo relacional de bancos de dados, utilizam-se as dependências funcionais e seu respectivo diagrama para se avaliar o grau de normalização de tabelas. Dessa forma, considere o seguinte diagrama de dependências funcionais.

A partir desse diagrama, é possível extrair-se as seguintes dependências funcionais:
Provas
- Conceitos e FundamentosConceitos Fundamentais de Banco de Dados
- Banco de Dados RelacionalFundamentos de Banco de Dados Relacionais
- Banco de Dados RelacionalRestrições de IntegridadeIntegridade de Entidade
- Banco de Dados RelacionalTipos de ChavesChave Primária
As chaves primárias constituem um conceito básico em bancos de dados relacionais, sendo correto afirmar sobre as mesmas que
Provas
De acordo com a LGPD (Lei Geral de Proteção de Dados – Lei nº 13.709/2018), assinale a alternativa que apresenta exemplos de dados pessoais e dados pessoais sensíveis.
Provas
O tratamento de dados pessoais poderá ocorrer somente se estiver de acordo com o embasamento legal previsto na LGPD (Lei Geral de Proteção de Dados – Lei nº 13.709/2018). Desta forma, é considerada uma hipótese para o tratamento de dados pessoais:
Provas
Assinale a alternativa que apresenta apenas os princípios expressos da administração pública.
Provas
Leia o texto para responder à questão.
The concept of virtual memory in computer architecture
Virtual memory is a technique used in computer architecture to make it appear as if the computer has more memory than it physically possesses. This is achieved by employing a combination of hardware and software mechanisms that manage the allocation and deallocation of memory resources. The primary aim of virtual memory is to enable efficient and seamless execution of programs and multitasking by allowing them to access more memory than what is physically available.
The concept of virtual memory was introduced to overcome the limitations of physical memory, such as the insufficient allocation of memory resources for large-scale applications. Virtual memory achieves this goal by providing a layer of abstraction between the physical memory and the running programs, allowing them to access a larger memory space than physically available.
At its core, virtual memory utilises a concept called “paging”, which divides the memory into fixed-size blocks called pages. These pages can then be stored in either physical memory or secondary storage devices, such as hard drives (HDs) or solid-state drives (SSDs). The process of managing these pages and mapping them to physical memory is handled by the Memory Management Unit (MMU) within a computer system.
(www.studysmarter.co.uk/explanations/computer-science
/computer-organisation-and-architecture/virtual-memory/)
O trecho do terceiro parágrafo “which divides the memory into fixed-size blocks called pages”, em relação a “paging”, apresenta uma
Provas
Leia o texto para responder à questão.
The concept of virtual memory in computer architecture
Virtual memory is a technique used in computer architecture to make it appear as if the computer has more memory than it physically possesses. This is achieved by employing a combination of hardware and software mechanisms that manage the allocation and deallocation of memory resources. The primary aim of virtual memory is to enable efficient and seamless execution of programs and multitasking by allowing them to access more memory than what is physically available.
The concept of virtual memory was introduced to overcome the limitations of physical memory, such as the insufficient allocation of memory resources for large-scale applications. Virtual memory achieves this goal by providing a layer of abstraction between the physical memory and the running programs, allowing them to access a larger memory space than physically available.
At its core, virtual memory utilises a concept called “paging”, which divides the memory into fixed-size blocks called pages. These pages can then be stored in either physical memory or secondary storage devices, such as hard drives (HDs) or solid-state drives (SSDs). The process of managing these pages and mapping them to physical memory is handled by the Memory Management Unit (MMU) within a computer system.
(www.studysmarter.co.uk/explanations/computer-science
/computer-organisation-and-architecture/virtual-memory/)
No trecho do segundo parágrafo “such as the insufficient allocation of memory resources for large-scale applications”, o termo destacado em negrito pode ser substituído, sem alteração de sentido, por
Provas
Leia o texto para responder à questão.
The concept of virtual memory in computer architecture
Virtual memory is a technique used in computer architecture to make it appear as if the computer has more memory than it physically possesses. This is achieved by employing a combination of hardware and software mechanisms that manage the allocation and deallocation of memory resources. The primary aim of virtual memory is to enable efficient and seamless execution of programs and multitasking by allowing them to access more memory than what is physically available.
The concept of virtual memory was introduced to overcome the limitations of physical memory, such as the insufficient allocation of memory resources for large-scale applications. Virtual memory achieves this goal by providing a layer of abstraction between the physical memory and the running programs, allowing them to access a larger memory space than physically available.
At its core, virtual memory utilises a concept called “paging”, which divides the memory into fixed-size blocks called pages. These pages can then be stored in either physical memory or secondary storage devices, such as hard drives (HDs) or solid-state drives (SSDs). The process of managing these pages and mapping them to physical memory is handled by the Memory Management Unit (MMU) within a computer system.
(www.studysmarter.co.uk/explanations/computer-science
/computer-organisation-and-architecture/virtual-memory/)
De acordo com o texto, o objetivo da memória virtual é
Provas
Um recipiente na forma de um prisma reto de base quadrada e 40 cm de altura interna, está totalmente vazio, conforme mostra a figura.

Para enchê-lo completamente, sem transbordar, foi utilizada uma mangueira que despejava 3 litros a cada 2 minutos. Sabendo que após 6 minutos esse recipiente já estava com !$ \dfrac{1}{4} !$ de sua capacidade total preenchida, então, a medida interna da aresta da base, indicada na figura pela letra x, é igual a
Provas
Caderno Container