Foram encontradas 1.350 questões.
Sempre que um programa é executado, ele precisa ser alocado na memória principal. Existem diversas formas de alocação, dentre elas, a de escolher a melhor partição de memória disponível, utilizando o espaço de memória mais próximo do tamanho do processo.
Qual é o nome dessa abordagem?
Provas
Em um cenário em que duas pessoas desejam trocar informações entre si via Internet, é necessário saber se nenhuma das partes é um impostor, isto é, a identidade de ambos deve ser confirmada.
Qual técnica deve de ser utilizada?
Provas
A respeito do modelo de referência OSI, é correto afirmar que:
Provas
Considere as assertivas abaixo sobre o processo de melhoria da qualidade de software, conhecida como Capability Maturity Model Integrated (CMMI 1.2), em sua versão por estágios.
I. Cada estágio define um conjunto de áreas de processo e objetivos a serem atingidos nessas áreas.
II. Cada estágio alcançado assegura que uma infraestrutura adequada de processo foi implantada, servindo de base para o próximo estágio.
III. Uma organização que, em todos os projetos de desenvolvimento de software, realiza e mantém o planejamento, realiza a gerência dos requisitos, acompanha e controla o progresso e realiza medições que fornecem informações gerenciais encontra-se no estágio 3 de maturidade.
IV. Uma organização que é capaz de gerenciar quantitativamente os projetos de software e analisar e medir o desempenho do processo organizacional, além de atender às exigências dos estágios anteriores, encontra-se no estágio 5 de maturidade.
V. O CMMI por estágios tem como vantagem propiciar às organizações uma abordagem de melhoria provada e pré-definida.
Estão corretas apenas as assertivas:
Provas
Disciplina: TI - Desenvolvimento de Sistemas
Banca: DIRENS Aeronáutica
Orgão: CIAAR
Analise a descrição do processo de desenvolvimento de software abaixo.
Neste processo organiza-se o desenvolvimento em incrementos, ciclos de desenvolvimento e antes de cada incremento realiza-se uma rodada de planejamento, preferencialmente, com a participação do cliente, para selecionar a próxima funcionalidade a ser construída naquele incremento, ainda para analisar possíveis mudanças no projeto.
Cada incremento leva poucas semanas para ser concluído e todos os dias a equipe realiza reuniões curtas no início do dia, para verificar o andamento e se há dificuldades para efetuar o trabalho. No final do incremento, há uma reunião de retrospectiva para avaliar os acertos, os equívocos e o que pode ser melhorado nos próximos ciclos.
Marque a opção que corresponde ao modelo de processo adotado.
Provas
Disciplina: TI - Desenvolvimento de Sistemas
Banca: DIRENS Aeronáutica
Orgão: CIAAR
Tomando como ponto de partida a árvore binária de busca balanceada (AVL) abaixo, como será o percurso em pós-ordem dos nós, após os valores 15, 30, 20, 10, 29 terem sido removidos nesta sequência, considerando que a árvore sempre se mantém balanceada?
Considere que o balanceamento utiliza o maior nó da subárvore à esquerda.

A opção que traz, de maneira correta, o percurso em pós-ordem dos nós é:
Provas
O Real Trip Time (RTT) é um conceito crucial para determinar a integridade de uma rede. É o tempo entre uma solicitação de dados e a exibição desses dados. Dada a definição de RTT, considere o tempo de viagem de ida e volta atual de 42ms. Se as próximas confirmações tiverem valores de 28, 45 e 30ms, respectivamente, quais serão as estimativas RTT? Empregue o algoritmo de Jacobson, considerando !$ \alpha !$ = 0,9.
A opção que contém as estimativas de forma correta é:
Provas
Considere o seguinte modelo de dados relacional que representa parte do banco de dados de uma academia, onde as chaves primárias estão sublinhadas.
Aluno (idAluno, nomeAluno)
Participa (idAluno, idAula) idAluno referencia Aluno e idAula referencia
Aula
Aula (idAula, dataAula, horaAula, descricaoAula)
Dentre os códigos SQL abaixo, qual deles retorna todos os alunos que compareceram a pelo menos uma aula e as datas de cada aula em que os alunos participaram?
Provas
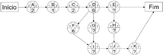
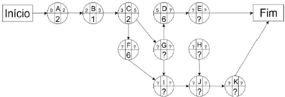
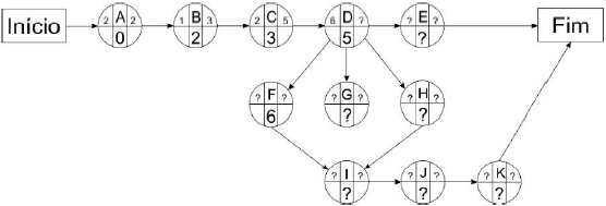
TEXTO 2
O setor de Engenharia da aeronáutica está providenciando a licitação de reforma em uma das suas instalações. Para cumprimento do prazo, a equipe de fiscalização está elaborando o planejamento através do Critical Path Method (CPM) e do Program Evaluation and Review Technique (PERT), e para isto vai verificar os caminhos críticos de forma a evitar atrasos durante a obra.
TABELA 2
| Atividade | Descrição | Atividades precedentes | Duração da atividade (semanas) |
| A | Demolição | - | 2 |
| B | Fundação | A | 1 |
| C | Estrutura | B | 2 |
| D | Paredes | C | 6 |
| E | Telhado | D | 4 |
| F | Acabamento interno | D | 6 |
| G | Instalação hidráulica | D | 8 |
| H | Instalação elétrica | D | 7 |
| I | Pisos | F, G, H | 4 |
| J | Divisórias | I | 5 |
| K | Pintura | J | 10 |
Fonte: Banca examinadora (2022).

De acordo com a Tabela 2, e considerando que ocorreu um atraso na atividade F (Acabamento interno) de uma semana, e que as atividades podem ser executadas em paralelo, o tempo do caminho crítico de projeto, em semanas, é:
Provas
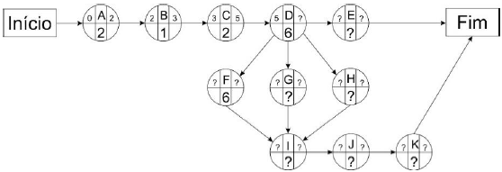
TEXTO 2
O setor de Engenharia da aeronáutica está providenciando a licitação de reforma em uma das suas instalações. Para cumprimento do prazo, a equipe de fiscalização está elaborando o planejamento através do Critical Path Method (CPM) e do Program Evaluation and Review Technique (PERT), e para isto vai verificar os caminhos críticos de forma a evitar atrasos durante a obra.
TABELA 2
| Atividade | Descrição | Atividades precedentes | Duração da atividade (semanas) |
| A | Demolição | - | 2 |
| B | Fundação | A | 1 |
| C | Estrutura | B | 2 |
| D | Paredes | C | 6 |
| E | Telhado | D | 4 |
| F | Acabamento interno | D | 6 |
| G | Instalação hidráulica | D | 8 |
| H | Instalação elétrica | D | 7 |
| I | Pisos | F, G, H | 4 |
| J | Divisórias | I | 5 |
| K | Pintura | J | 10 |
Fonte: Banca examinadora (2022).

De acordo com a Tabela 2 e as convenções gráficas, e com base nas atividades a serem executadas e seus precedentes, bem como no tempo estimado em semanas, o gráfico que melhor representa esta rede PERT é
Provas
Caderno Container