Foram encontradas 780 questões.
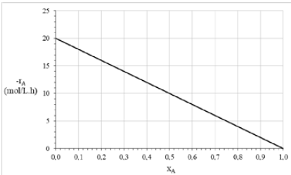
Um r e ator batelada em escala laboratorial foi utilizado para estudar a velocidade da reação !$ A \, \rightarrow \, 2B !$. O reator foi alimentado com uma solução com concentração inicial de A de 2 mol/L e mantido à temperatura constante de 25°C. A velocidade de desaparecimento do reagente A (-rA) foi medida para diferentes conversões (xA). A curva obtida é apresentada a seguir.

Fonte: Arquivo Banca Elaboradora.
A reação deverá ser processada em dois reatores de tanque contínuos (CSTRs) independentes, mantidos à mesma temperatura T utilizada para o reator batelada. O reator 1 será alimentado com uma solução com concentração 2mol/L de A e o reator 2 com uma solução com concentração 4mol/L de A. Cada um deles será projetado para alcançar conversão de 90%.
Os tempos espaciais, dados em hora, dos reatores 1 e 2 serão, respectivamente,
Provas
A fisioterapia aquática tem como objetivo promover o máximo de independência funcional ao paciente, minimizando as respostas anormais e favorecendo os movimentos do corpo humano de maneira harmonizada, beneficiando-se dos princípios físicos e termodinâmicos da água, como o empuxo, a pressão hidrostática e a viscosidade.
Considerando-se os exercícios aquáticos como um importante recurso no contexto da fisioterapia ortopédica funcional, avalie as afirmações a seguir.
I. Os exercícios aquáticos fornecem aplicação suave de resistência, amplitude completa de movimento e oportunidade de treinar várias velocidades.
II. A turbulência na água de uma piscina sempre ocorre e serve como resistência diminuída ao exercício, ao padrão de movimento e à estabilização proximal exigida.
III. A flutuação diminui os efeitos da gravidade; como resultado, há menos compressão sobre as articulações, propiciando uma maior liberdade e amplitude nos movimentos.
Está correto apenas o que se afirma em
Provas
Deseja-se reduzir a temperatura de 100kg de água de 60°C para 30°C em um certo processo. Sabe-se que a capacidade calorífica específica da água à pressão constante é equivalente a 4,18 J K-1 g-1. Nesse processo, considerar a capacidade calorífica independe da variação da temperatura.
Assim, a quantidade de calor que deverá ser removida, em KJ, será igual a
Provas
Funções de singularidade são funções descontínuas ou derivadas descontínuas que são muito úteis na análise de circuitos; servem como boas aproximações aos sinais de comutação que surgem em circuitos com operações de comutação e são úteis na descrição elegante e compacta de alguns fenômenos de circuito.
A função dada por
!$ r(t) \, = \, \begin {cases} 0, \, t \, \le \, 0 \\ t, \, t \, \ge \, 0 \end {cases} !$ é chamada de
Provas
Sobre a comunicação empresarial em um contexto inovador, é incorreto afirmar que a comunicação empresarial deve
Provas
A utilização de enxertos ósseos tem sua indicação em casos clínicos em que há chance de reparo ósseo por regeneração. São inúmeras as técnicas e tipos de substitutos ósseos disponíveis no mercado.
Associe corretamente a categoria dos enxertos com o tipo de substituto a que se refere.
CATEGORIA DOS ENXERTOS
(1) Autógeno
(2) Aloenxerto
(3) Xenoenxerto
(4) Materiais aloplásticos
TIPO DE SUBSTITUTO
( ) !$ \beta !$-TCP
( ) DFDBA
( ) matriz óssea bovina
( ) bloco mandibular (receptor = doador)
A sequência correta é
Provas
Atualmente no Brasil, tem-se observado um grande número de pacientes com implantes osteointegráveis em boca e a manutenção da saúde peri-implantar é de grande importância.
A respeito da mucosa peri-implantar saudável, pode se afirmar que suas fibras gengivais são, em sua maioria,
Provas
Qual método de abordagem não farmacológica deve ser evitado em pacientes com comprometimento neurológico e cognitivo?
Provas
Observe a figura a seguir.
Organograma da FAB até 2016

Disponível em: <https://www.politize.com.br/fab-estrutura-e-organizacao/>.
Acesso em: 12 de fev. 2020.
A análise correta desse organograma indica que
Provas
Preencha corretamente as lacunas.
A comunicação se fortaleceu e se tornou estratégica dentro das organizações. Ao não ser mais tolerada pela imprensa e pela opinião pública, a frase “não tenho nada a declarar” passou a influir negativamente nos negócios da corporação. Tornou-se necessário intensificar o ________________________________ entre os meios de comunicação e a sociedade, facilitando o acesso dos jornalistas aos clientes e auxiliando-os a ter um canal de comunicação aberto com ________________________.
A sequência que preenche corretamente as lacunas é
Provas
Caderno Container