Magna Concursos

Foram encontradas 299 questões.

Uma organização pode adotar diferentes critérios de departamentalização para sua estrutura organizacional, dependendo de seu porte, estratégia, dispersão geográfica. Dados os critérios de departamentalização funcional, por localidade e por cliente, faça a correspondência com as estratégias indicadas a seguir e marque a opção que expressa corretamente a relação estratégia/critério de departamentalização.

I. A organização tem como meta abrir seis filiais, uma em cada capital dos estados do nordeste.

II. A organização tem como meta consolidar a especialização da produção, comercialização e informática.

III. A organização tem como meta consolidar sua posição junto aos consumidores, prestando-lhes serviços diferenciados.

IV. A organização tem como meta consolidar sua posição no mercado nas cidades onde atua.

V. A organização tem como meta lançar um produto direcionado a jovens da classe média.

 

Provas

Questão presente nas seguintes provas
Os programas de qualidade se consolidaram no Japão visando basicamente produzir ganhos de competitividade para as indústrias; no entanto, as idéias e métodos da qualidade se espandiram para outras realidades. Assinale a opção que não corrresponde ao enfoque dado por um programa de qualidade.
 

Provas

Questão presente nas seguintes provas
Weber estudou as organizações que surgiram após a revolução industrial e a formação do Estado, identificando características que eram comuns e tipos de autoridade. Indique a opção que apresenta corretamente características do tipo ideal de burocracia de Weber.
 

Provas

Questão presente nas seguintes provas
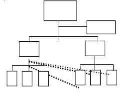
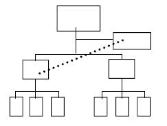
Identifique o gráfico que representa corretamente uma estrutura matricial.
 

Provas

Questão presente nas seguintes provas
O controle visa informar sobre determinada situação dando indicações se os objetivos estão sendo alcançados ou não, alimentando o processo decisório; dessa forma um determinado sistema pode ser avaliado e mantido dentro de um padrão de comportamento desejado. Escolha a opção que identifica corretamente aspectos relacionados ao processo de controle.
 

Provas

Questão presente nas seguintes provas

De uma forma geral, as competências gerenciais são classificadas em três categorias: conhecimentos, habilidades e atitudes. Essas são necessárias para ocupar um cargo de gerente e dependem do nível hierárquico do cargo, das tarefas a serem desenvolvidas pelo gerente e do tipo de organização entre outros fatores.

Escolha a opção que faz uma relação correta entre habilidade e nível hierárquico.

 

Provas

Questão presente nas seguintes provas
Marco e Mauro costumam treinar natação na mesma piscina e no mesmo horário. Eles iniciam os treinos simultaneamente, a partir de lados opostos da piscina, nadando um em direção ao outro. Marco vai de um lado a outro da piscina em 45 segundos, enquanto Mauro vai de um lado ao outro em 30 segundos. Durante 12 minutos, eles nadam de um lado para outro, sem perder qualquer tempo nas viradas. Durante esses 12 minutos, eles podem encontrar-se quer quando estão nadando no mesmo sentido, quer quando estão nadando em sentidos opostos, assim como podem encontrar-se quando ambos estão fazendo a virada no mesmo extremo da piscina. Dessa forma, o número de vezes que Marco e Mauro se encontram durante esses 12 minutos é:
 

Provas

Questão presente nas seguintes provas
Ana é prima de Bia, ou Carlos é filho de Pedro. Se Jorge é irmão de Maria, então Breno não é neto de Beto. Se Carlos é filho de Pedro, então Breno é neto de Beto. Ora, Jorge é irmão de Maria. Logo:
 

Provas

Questão presente nas seguintes provas

Três homens são levados à presença de um jovem lógico. Sabe-se que um deles é um honesto marceneiro, que sempre diz a verdade. Sabe-se, também, que um outro é um pedreiro, igualmente honesto e trabalhador, mas que tem o estranho costume de sempre mentir, de jamais dizer a verdade. Sabe-se, ainda, que o restante é um vulgar ladrão que ora mente, ora diz a verdade. O problema é que não se sabe quem, entre eles, é quem. À frente do jovem lógico, esses três homens fazem, ordenadamente, as seguintes declarações:

O primeiro diz: "Eu sou o ladrão."
O segundo diz: "É verdade; ele, o que acabou de falar, é o ladrão."
O terceiro diz: "Eu sou o ladrão."

Com base nestas informações, o jovem lógico pode, então, concluir corretamente que:

 

Provas

Questão presente nas seguintes provas
Uma professora de matemática faz as três seguintes afirmações:

"X > Q e Z < Y";
"X > Y e Q > Y, se e somente se Y > Z";
"R ≠ Q, se e somente se Y = X".

Sabendo-se que todas as afirmações da professora são verdadeiras, conclui-se corretamente que:
 

Provas

Questão presente nas seguintes provas