Foram encontradas 730 questões.
Uma obra de pavimentação precisa de 4.800 m3 de aterro. Após a caracterização do material da jazida, verificou-se que o empolamento era de 0,80 e o grau de compactabilidade de 0,75.
Sabendo-se que serão utilizados 20 caminhões basculantes de 10,00 m3 para transportar todo volume solto, serão necessárias:
Provas
Para execução de 1 m2 de parede de alvenaria de tijolo cerâmico furado de 10 x 20 x 20 cm com argamassa de cimento e areia, são consumidos: 2,25 h de pedreiro, 1,00 h de servente, 25 tijolos e 0,015 m3 de argamassa de cimento e areia.
A tabela abaixo mostra os custos desses insumos, incluindo os encargos sociais:
Item | Custo |
Tijolo | R$ 2,90 / un |
Argamassa de cimento e areia | R$ 320,00 / m3 |
Servente | R$ 5,00 / h |
Pedreiro | R$ 16, 00/ h |
Considerando-se um DBI nulo, o custo unitário total desse serviço, incluindo materiais e mão-de-obra, é:
Provas
A auditora fiscal Maria Ligadona fez uma pesquisa no município de Arroio Abaixo e verificou que empresas que ficam com o índice de liquidez corrente abaixo de 1,00 por seis meses deixam de recolher os impostos em dia.
Ao solicitar o balancete da empresa Lisada Ltda., ela encontrou a seguinte situação:
LISADA LTDA - BALANCETE | R$ |
DESPESAS ANTECIPADAS | 3.000 |
INTANGÍVEL | 9.000 |
APLICAÇÕES FINANCEIRAS | 11.000 |
SALARIOS E ENCARGOS SOCIAIS A PAGAR | 12.000 |
PROVISÃO PARA AJUSTE DE REALIZAÇÃO DE ESTOQUES | 13.000 |
DEPOSITOS JUDICIAIS | 16.000 |
RESERVAS DE LUCRO | 16.000 |
ESTOQUE DE MATÉRIA PRIMA | 17.000 |
CONTAS A PAGAR | 23.000 |
EMPRÉSTIMOS DE LONGO PRAZO | 25.000 |
EMPRÉSTIMOS DE CURTO PRAZO | 27.000 |
CAPITAL SOCIAL | 31.000 |
CONTAS A RECEBER | 31.000 |
CAIXA E BANCOS | 31.000 |
AJUSTE DE AVALIAÇÃO PATRIMONIAL | 33.000 |
ADIANTAMENTO A FORNECEDORES | 34.000 |
IMOBILIZADO | 34.000 |
ESTOQUE DE PRODUTOS ACABADOS | 34.000 |
INVESTIMENTOS EM COLIGADAS | 35.000 |
IMPOSTOS A RECOLHER | 43.000 |
EMPRESTIMOS CONCEDIDOS A DIRETORES | 48.000 |
Com base nessas informações, o índice de liquidez corrente da empresa é:
Provas
Um serviço de terraplenagem foi executado com a equipe de máquinas mostrada na tabela abaixo, que também apresenta a quantidade empregada e a utilização de cada equipamento.
Equipamento | Quantidade | Utilização produtiva | Utilização improdutiva |
Trator de esteira | 1 | 1 | 0 |
Motoniveladora | 3 | 0,6 | 0,4 |
Motoscraper | 3 | 0,3 | 0,7 |
Os equipamentos de um mesmo tipo possuem a mesma produtividade.
Sabendo-se que a produtividade do trator de esteira foi de 90 m3 /hora, a produtividade máxima de um motoscraper é:
Provas
- 05/05/X1: Compra de mercadorias no exterior por US$ 1.000,00;
- 25/06/X1: Recebimento das mercadorias importadas adquiridas;
- 02/07/X1: Pagamento de 50% do valor do valor ao fornecedor do exterior.
Cotações do dólar:
05/05/X1: R$ 1,50
25/06/X1: R$ 2,00
02/07/X1: R$ 2,50
Utilizando apen as as informações acima, assinale a alternativa que representa o impacto no patrimônio da empresa até 02/07/X1:
Provas
O aterro de uma obra de terraplenagem recebe material de cinco jazidas diferentes, com os quantitativos e distâncias de transporte dados pela tabela abaixo.
Jazida | Quantidade de material (m3) | Distância média (km) |
J1 | 2.500 | 6 |
J2 | 5.000 | 4 |
J3 | 2.000 | 5 |
J4 | 3.500 | 2 |
J5 | 6.000 | 4 |
O valor da distância média de transporte é:
Provas
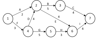
Considerando a PERT/CPM mostrada anteriormente, a folga da atividade A do projeto é:
Provas
Observe a rede PERT/CPM mostrada abaixo:

Nas setas, as letras (A até I) representam as atividades e os valores mostram a duração da atividade expressa em dias corridos. Os círculos mostram as incidências de início e término das atividades. O projeto se inicia no nó 1 e termina no nó 7.
Provas
A tabela abaixo apresenta a resposta de uma bacia hidrográfica à ação de uma precipitação total de 25 mm com duração de 1 h.
![]()
Sabendo-se que o coeficiente de escoamento superficial é de 0,6, se a bacia recebesse uma precipitação efetiva de 15 mm com duração de 1 hora, seguida de uma precipitação efetiva de 30 mm, com duração de 1 hora, o valor de pico horário observado na resposta, nessa mesma seção transversal, seria:
Provas
O marco regulatório atual do mercado brasileiro de planos de saúde dificulta um dos mecanismos que poderiam ser utilizados pelas empresas operadoras de planos de saúde para redução de riscos operacionais - a chamada seleção de risco, pois, de acordo com a legislação:
Provas
Caderno Container