Foram encontradas 380 questões.
Ao se somar 506 +1012 + 1518 + 2024 + 2530 + 3036 +
3542 + 4048 +4554 + 5060, o resultado obtido é:
Provas
Questão presente nas seguintes provas
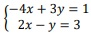
Ao resolver o sistema
o resultado de |x− y|
será:
Provas
Questão presente nas seguintes provas
Observe a imagem a seguir.

A área do triângulo em destaque na figura é 18/7 . A função afim do gráfico apresentado é dada por:
Provas
Questão presente nas seguintes provas
A resolução da expressão numérica 7
−1 +
2/ (−3)
1+(−2)
5
é igual
a
Provas
Questão presente nas seguintes provas
3826758
Ano: 2024
Disciplina: Matemática Financeira
Banca: Verbena
Orgão: Câm. Caldas Novas-GO
Disciplina: Matemática Financeira
Banca: Verbena
Orgão: Câm. Caldas Novas-GO
Provas:
Um capital de R$500,00 é aplicado a juros simples durante
o período de 12 meses, gerando um montante de R$800,00.
Determine o valor dessa aplicação no décimo mês.
Provas
Questão presente nas seguintes provas
Senado aprova cota de exibição de filmes brasileiros nos
cinemas; texto segue para sanção
O Senado aprovou nesta terça-feira 19 um projeto de
lei para recriar a cota de exibição para filmes brasileiros, com
validade até 2033. A chamada “cota de tela” havia acabado
em 2021, quando expirou o prazo de 20 anos previsto por uma
medida provisória. “A cota de tela é um dos instrumentos
pioneiros instituídos pelo Estado brasileiro com o intuito de
fomentar a produção cinematográfica doméstica”, diz um
trecho do relatório.
A redação determina que salas, espaços e locais de
exibição pública comercial fiquem obrigados a exibir obras
brasileiras de longa-metragem, observados o número mínimo
de sessões e a diversidade de títulos. Cabe à Agência
Nacional de Cinema o controle de um decreto do governo
federal. A Ancine e entidades representativas de produtores
de cinema, de distribuidores e de exibidores deverão ser
consultadas.
Disponível em:<https://www.cartacapital.com.br/politica/senado-aprova-cotade-exibicao-de-filmes-brasileiros-nos-cinemas-texto-segue-para-sancao/> .
Acesso em: 15 jan. 2024. [Adaptado].
Provas
Questão presente nas seguintes provas
Senado aprova cota de exibição de filmes brasileiros nos
cinemas; texto segue para sanção
O Senado aprovou nesta terça-feira 19 um projeto de
lei para recriar a cota de exibição para filmes brasileiros, com
validade até 2033. A chamada “cota de tela” havia acabado
em 2021, quando expirou o prazo de 20 anos previsto por uma
medida provisória. “A cota de tela é um dos instrumentos
pioneiros instituídos pelo Estado brasileiro com o intuito de
fomentar a produção cinematográfica doméstica”, diz um
trecho do relatório.
A redação determina que salas, espaços e locais de
exibição pública comercial fiquem obrigados a exibir obras
brasileiras de longa-metragem, observados o número mínimo
de sessões e a diversidade de títulos. Cabe à Agência
Nacional de Cinema o controle de um decreto do governo
federal. A Ancine e entidades representativas de produtores
de cinema, de distribuidores e de exibidores deverão ser
consultadas.
Disponível em:<https://www.cartacapital.com.br/politica/senado-aprova-cotade-exibicao-de-filmes-brasileiros-nos-cinemas-texto-segue-para-sancao/> .
Acesso em: 15 jan. 2024. [Adaptado].
Provas
Questão presente nas seguintes provas
Observe a imagem a seguir.

Disponível em: <https://www.cartacapital.com.br/sociedade/angeli-e-laerteocupam-paulista-com-charges-sobre-direitos-humanos/>. Acesso em 16 dez. 2023.
A imagem apresenta uma cena que revela
Provas
Questão presente nas seguintes provas
Fogos de artifício
Roberto Célio Silva - Setor Pedro Ludovico, Goiânia
Para este final de ano, durante as festas de Natal e Réveillon,
que tal deixarmos de lado foguetes, rojões, bombas,
bombinhas e fogos de artifício? Já temos ciência de que estes
trazem grandes incômodos e prejuízos à natureza, sobretudo
para os animais. Perturbam tanto idosos, crianças e doentes.
Assustam demais portadores de alguns espectros do tipo
mental. Atrapalham o funcionamento de hospitais e podem
causar danos físicos até mesmo em quem insiste nessas
práticas que, sinceramente, além de antipáticas, já caíram de
moda há tempos! Por favor! Pensemos nisso!
Disponível em:<https://opopular.com.br/opiniao/carta-dos-leitores/cartas1.3091263> . Acesso em: 16 dez. 2023.
Provas
Questão presente nas seguintes provas
Fogos de artifício
Roberto Célio Silva - Setor Pedro Ludovico, Goiânia
Para este final de ano, durante as festas de Natal e Réveillon,
que tal deixarmos de lado foguetes, rojões, bombas,
bombinhas e fogos de artifício? Já temos ciência de que estes
trazem grandes incômodos e prejuízos à natureza, sobretudo
para os animais. Perturbam tanto idosos, crianças e doentes.
Assustam demais portadores de alguns espectros do tipo
mental. Atrapalham o funcionamento de hospitais e podem
causar danos físicos até mesmo em quem insiste nessas
práticas que, sinceramente, além de antipáticas, já caíram de
moda há tempos! Por favor! Pensemos nisso!
Disponível em:<https://opopular.com.br/opiniao/carta-dos-leitores/cartas1.3091263> . Acesso em: 16 dez. 2023.
Provas
Questão presente nas seguintes provas
Cadernos
Caderno Container