Foram encontradas 56 questões.
Várias são as habilidades técnicas e
comportamentais que um servidor público deve
desenvolver para oferecer um atendimento de
qualidade. Todas as alternativas abaixo trazem
habilidades positivas e necessárias, EXCETO:
Provas
Questão presente nas seguintes provas
Um bom grau de trabalho em equipe depende
de diversas atitudes e posturas que precisam ser
tomadas por todos os membros do grupo. Dentre
as alternativas abaixo, a única que traz uma postura
que NÃO contribui para que haja um bom grau de
trabalho em equipe é:
Provas
Questão presente nas seguintes provas
As contas do Município, após o parecer prévio,
ficarão, durante sessenta dias, anualmente, à
disposição de qualquer contribuinte. Assinale a
opção correta, sobre o que ocorre depois:
Provas
Questão presente nas seguintes provas
Em relação à modalidade licitatória pregão, de
acordo com a Lei Federal n°10.520/02, julgue os
itens a seguir.
I - Poderá ser realizado o pregão por meio da
utilização de recursos de tecnologia da informação,
nos termos de regulamentação específica.
II - Pregão é a modalidade de licitação entre
quaisquer interessados para escolha de trabalho
técnico, científico ou artístico, mediante a instituição
de prêmios ou remuneração aos vencedores,
conforme critérios constantes de edital publicado
na imprensa oficial com antecedência mínima de
45 (quarenta e cinco) dias.
III - Para aquisição de bens e serviços comuns,
poderá ser adotada a licitação na modalidade de
pregão. Consideram-se bens e serviços comuns
aqueles cujos padrões de desempenho e qualidade
possam ser objetivamente definidos pelo edital, por
meio de especificações usuais no mercado.
IV - A fase externa do pregão será iniciada com a
convocação dos interessados.
De acordo com as afirmativas acima, assinale a alternativa CORRETA:
De acordo com as afirmativas acima, assinale a alternativa CORRETA:
Provas
Questão presente nas seguintes provas
- Estado, Governo e Administração PúblicaAdministração PúblicaAdministração Pública em Sentido Amplo e Estrito
- Estado, Governo e Administração PúblicaAdministração PúblicaCaracterísticas da Administração Pública
Dentre as alternativas abaixo, qual é a única
que traz duas características úteis para um servidor
público que lida com situações delicadas que, por
respeito ao contribuinte, precisam ser mantidas em
sigilo?
Provas
Questão presente nas seguintes provas
Diante da omissão do dever de prestar contas,
da não comprovação da aplicação dos recursos
repassados pelo Estado e Municípios na forma
prevista no inciso VI, do art. 1º, da ocorrência de
desfalque ou desvio de dinheiro, bens ou valores
públicos, ou ainda, da prática de qualquer ato ilegal,
ilegítimo ou antieconômico de que resulte dano ao
erário, a autoridade administrativa competente, sob
pena de responsabilidade solidária, deverá:
Provas
Questão presente nas seguintes provas
Qual a probabilidade de se tirar 4 vezes
seguidas um mesmo número em um dado comum
de 6 faces?
Provas
Questão presente nas seguintes provas
Qual o produto entre as soluções da equação
2x²-x-3=0 ?
Provas
Questão presente nas seguintes provas
Um consultor cobra por seus serviços um valor
fixo de R$300,00 mais R$50,00 por hora trabalhada
para o cliente. Qual a função matemática que
descreve o quanto custa os serviços desse
consultor “P” em função da quantidade de horas
trabalhadas “h”?
Provas
Questão presente nas seguintes provas
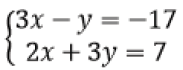
Qual o produto entre as incógnitas x e y da solução do sistema a seguir?

Provas
Questão presente nas seguintes provas
Cadernos
Caderno Container