Foram encontradas 66 questões.
Assinale a alternativa que representa a nomenclatura dos três gráficos abaixo, respectivamente.

Provas
Dentre os diversos comitês do BRDE, segundo o Relatório de Administração 2013, estão os seguintes:
I. Comissão Permanente de Licitações (COPEL), que tem a função de receber, examinar e julgar todos os documentos e procedimentos relativos a licitações e cadastramento de licitantes.
II. Comitê de Informática (COINF), que tem a atribuição de assessorar a Diretoria no estabelecimento de políticas e diretrizes que norteiam o uso da informática no BRDE.
III. Comitê de Avaliação (COVAL), que tem a função de analisar os resultados do processo de avaliação de desempenho dos funcionários, manifestando-se sobre tais resultados e zelando pelo cumprimento das normas.
IV. Comitê de Comunicação (COMUNICA), que tem incumbência de assessorar a Diretoria em assuntos relacionados às comunicações do BRDE.
Quais estão corretos?
Provas
Observando uma caixa com objetos de plástico, fez-se as seguintes afirmações:
Nem todos os objetos da caixa são vermelhos. Nenhum objeto da caixa é redondo.
Supondo que as afirmações são verdadeiras,
então é correto deduzir que é verdadeiro:
Provas
Provas

Provas
Na lógica formal, temos os operadores lógicos do condicional (→),negação (~) e conjunção (∧ ), representados na fórmula proposicional
(P ∧ Q→~R)
Supondo que:
P representa a sentença declarativa: Maria tem salário líquido maior que R$ 2.500,00.
Q representa a sentença declarativa: Maria desconta imposto de renda na fonte.
R representa a sentença declarativa: Maria recebe auxílio refeição.
A alternativa que representa, em linguagem natural, a fórmula acima para as respectivas sentenças declarativas é:
Provas
Provas
Provas
Provas
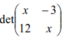
O valor real de x na matriz de ordem 2 x 2 para que
= 45 é:
Provas
Caderno Container