Foram encontradas 66 questões.
O gráfico na imagem abaixo representa a função g(x) :
→
, definida por:

Provas
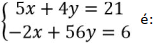
A solução do sistema linear 
Provas
Considere os conjuntos definidos por:
A = { x ∈
- 3 ≤ x < 5 }
B = { x ∈
4 ≤ x < 7 }
C = { x ∈
x > 2 }
A alternativa correta para a solução da operação de ((A ∪ B ) ∩ C ) é:
Provas

Analise as seguintes propostas de reescrita de fragmentos do texto:
I. Os demais mortais só se atrapalham ao tentar ser multitarefa (l. 08-09) por Os demais mortais só se atrapalham conquanto tentam ser multitarefa.
II. decidiu reorganizar sua agenda (l. 26) por decidiu que sua agenda poderia ser reorganizada.
III. É o caminho para dar conta de tudo e ter uma vida melhor (l. 48-49) por é o caminho para que se dê conta de tudo e para que se tenha uma vida melhor.
Quais estão corretas?
Provas

Considere as seguintes expressões do texto:
I. com um olho no gato e outro no peixe (l. 16).
II. dar conta do recado (l. 27).
III. de ser um tiro no pé da produtividade (l. 17).
Quais foram utilizadas em sentido figurado?
Provas

Analise as afirmações que são feitas a respeito de palavras do texto, assinalando V, se verdadeiras, ou F, se falsas.
( ) Nos vocábulos hábito (l. 06) e diárias (l. 29), a vogal a recebe acento gráfico por ser a base da sílaba.
( ) Na linha 32, memória e raciocínio são acentuadas por serem paroxítonas terminadas em ditongo decrescente.
( ) A palavra caótica (l. 34) é acentuada em virtude da regra do hiato.
A ordem correta de preenchimento dos parênteses, de cima para baixo, é:
Provas

Provas

Considere as seguintes propostas de alterações de formas verbais do texto, assinalando V, se verdadeiras, ou F, se falsas.
( ) A substituição de insistem (l. 11) por porfiam não implica nenhuma alteração na estrutura da frase.
( ) O vocábulo terminar substituiria adequadamente dar conta (l. 17) sem acarretar alteração de regência.
( ) O uso de revezar em lugar de Alternar (l. 31) não produz necessidade de ajuste quanto à regência.
A ordem correta de preenchimento dos parênteses, de cima para baixo, é:
Provas

Provas

Considerando as afirmações contidas no texto, analise as assertivas abaixo:
I. Todos os brasileiros conseguem fazer diversas tarefas ao mesmo tempo, visto que têm muita concentração e organização.
II. Para o atendimento de todas as tarefas ao mesmo tempo, é preciso ter controle e organização sobre todas elas e não ser distraído.
III. O uso de celulares e redes sociais auxilia os “multitarefeiros” a manter as atividades em dia, de modo que sua caixa de e-mail esteja sempre vazia.
Quais estão INCORRETAS?
Provas
Caderno Container