Magna Concursos

Foram encontradas 1.145 questões.

231431 Ano: 2010
Disciplina: Odontologia
Banca: CESGRANRIO
Orgão: BR Distribuidora
Provas:
Paciente é diagnosticado com periodontite crônica. Clinicamente, a sondagem revelou presença de lesão de furca classe II (Hamp et al.) divisão B (Tarnow e Fletcher) no elemento 46. Qual o tratamento cirúrgico indicado para esse tipo de lesão?
 

Provas

Questão presente nas seguintes provas
231418 Ano: 2010
Disciplina: Contabilidade Geral
Banca: CESGRANRIO
Orgão: BR Distribuidora
Determinada empresa adquiriu equipamentos de produção via operação de leasing financeiro, conforme as condições abaixo.
Valor dos equipamentos R$ 4.800.000,00
Nº de prestações 48
Valor da prestação R$ 150.000,00
Vida útil real 8 anos
Legenda:
PC = Passivo circulante
PNC = Passivo não circulante
Considerando-se os dados apresentados, os registros contábeis que estão em consonância com as normas internacionais de contabilidade são
 

Provas

Questão presente nas seguintes provas
231319 Ano: 2010
Disciplina: Administração de Recursos Materiais
Banca: CESGRANRIO
Orgão: BR Distribuidora
Provas:
O uso da abordagem do Lote Econômico de Compra para reposição de estoques tem como
 

Provas

Questão presente nas seguintes provas
231318 Ano: 2010
Disciplina: Engenharia Elétrica
Banca: CESGRANRIO
Orgão: BR Distribuidora
Provas:
O princípio da conservação de energia associado às leis de campos eletromagnéticos e elétricos e à mecânica newtoniana é capaz de determinar as relações e descrever os princípios de acoplamentos eletromecânicos. Basicamente, a conversão eletromecânica de energia envolve energia em quatro formas. Essas formas se relacionam através da seguinte expressão:
Enunciado 231318-1
Com base na expressão mostrada acima, admite-se que
 

Provas

Questão presente nas seguintes provas
231315 Ano: 2010
Disciplina: Contabilidade Geral
Banca: CESGRANRIO
Orgão: BR Distribuidora
Provas:
O índice de liquidez imediata obtido do balanço patrimonial de uma empresa é o(a)
 

Provas

Questão presente nas seguintes provas
231311 Ano: 2010
Disciplina: Contabilidade Geral
Banca: CESGRANRIO
Orgão: BR Distribuidora
A Cia. Austral S.A., que utiliza insumos importados na sua produção, realizou a seguinte aquisição em março de 2009:
Compra de matéria-prima dos Estados Unidos por US$ 120.000,00, pelo critério FOB;
Valor do câmbio na data da compra: US$ 1,00 = R$ 1,80;
Valor do câmbio na data da chegada no porto brasileiro da matéria-prima: US$ 1,00 = R$ 1,85;
Despesas incorridas no desembaraço da mercadoria na alfândega: R$ 1.780,00;
Despesas de seguros e frete por conta da empresa importadora: R$ 1.234,00;
Valor do câmbio no momento em que a matéria-prima chegou à empresa: US$ 1,00 = R$ 1,89.
Considerando-se exclusivamente as informações acima, o valor que deve ser registrado na conta estoque de matérias-primas da Cia. Austral, referente a essa aquisição, em reais, será
 

Provas

Questão presente nas seguintes provas
A tecnologia WDM (Wavelength-Division Multiplexing), usada em transmissões via fibra ótica, tem como objetivo
 

Provas

Questão presente nas seguintes provas
231279 Ano: 2010
Disciplina: Odontologia
Banca: CESGRANRIO
Orgão: BR Distribuidora
Provas:
Risco é definido como a probabilidade de um evento danoso ocorrer. São indicadores de risco da doença cárie para um paciente de 75 anos de idade:
I – baixo nível educacional, senilidade e raízes expostas;
II – moradia precária, Doença de Sjogren e viagens constantes;
III – alta experiência passada de lesões cariosas, moradia precária e deficiências físicas.
IV – restaurações em resinas, manchas brancas ativas e hipertensão.
Estão corretos os indicadores
 

Provas

Questão presente nas seguintes provas
231274 Ano: 2010
Disciplina: Engenharia Mecânica
Banca: CESGRANRIO
Orgão: BR Distribuidora
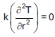
A equação da condução de calor em coordenadas cilíndricas, unidimensional, em regime transiente é dada por
Enunciado 231274-1
onde r é a variável radial, T a temperatura, k a condutividade térmica do material, !$ \dot {g} !$ a taxa de geração de energia por unidade de volume, a massa específica do material, cp o calor específico do material e t o tempo.
A forma mais simplificada da equação anterior para o caso específico de condução de calor em estado estacionário sem geração de energia e k constante é
 

Provas

Questão presente nas seguintes provas
231270 Ano: 2010
Disciplina: Direito Tributário
Banca: CESGRANRIO
Orgão: BR Distribuidora
A contribuição social pode ser cobrada pela
 

Provas

Questão presente nas seguintes provas