Foram encontradas 370 questões.
Um casal decide ter filhos até que, eventualmente, tenham filhos dos dois sexos, ou seja, uma menina e um menino, não importando a ordem de nascimento. Alcançado este objetivo, não terão mais filhos. Supõe-se que, em cada nascimento, a probabilidade de ser menino seja 50% e de ser menina também 50%, independente do resultado de outros nascimentos, desconsiderando as demais possibilidades, como: não engravidar, gravidez acidental, nascimento de gêmeos, etc. Qual seria o número de filhos mais provável do casal, isto é, a moda da distribuição de probabilidades sobre o número de filhos?
Provas
Questão presente nas seguintes provas
Um pesquisador deseja testar se a renda do filho primogênito é maior que a renda média de seus irmãos. Formula a hipótese nula
de que a diferença de rendas (d) = 0 e a hipótese alternativa
isto é, a de que a renda do primogênito seja maior que a média das rendas dos irmãos. Desse modo, o(a)
de que a diferença de rendas (d) = 0 e a hipótese alternativa
isto é, a de que a renda do primogênito seja maior que a média das rendas dos irmãos. Desse modo, o(a)Provas
Questão presente nas seguintes provas
Para ajustar uma reta a um conjunto de pontos no plano cartesiano,
i = 1 a n, de modo que y = a + bx, as estimativas de a e de b são feitas minimizando a soma dos quadrados dos erros verticais (supondo que os y sejam representados no eixo das ordenadas do gráfico entre x e y). Nestas condições, a reta ajustada
i = 1 a n, de modo que y = a + bx, as estimativas de a e de b são feitas minimizando a soma dos quadrados dos erros verticais (supondo que os y sejam representados no eixo das ordenadas do gráfico entre x e y). Nestas condições, a reta ajustadaProvas
Questão presente nas seguintes provas

A figura acima apresenta tipos de operações em serviços em função do binômio variedade-volume. Quais exemplos de empresas estão adequados ao binômio representado na figura?
Provas
Questão presente nas seguintes provas
Considere o gráfico abaixo, que mostra as curvas de demanda (D) e de oferta (S) no mercado de laranjas. Suponha que os consumidores considerem laranja um bem inferior e laranja e tangerina como bens substitutos.

Se o preço da tangerina aumentar, no gráfico do mercado de laranjas apresentado acima, o(a)

Se o preço da tangerina aumentar, no gráfico do mercado de laranjas apresentado acima, o(a)
Provas
Questão presente nas seguintes provas
Um automóvel parte para uma viagem com o tanque cheio. Depois de percorrer
do percurso dessa viagem, seu tanque está com a metade do combustível inicial. Nesse momento, o motorista para em um posto de gasolina e coloca combustível correspondente a
da capacidade do tanque. Considerando que o consumo é diretamente proporcional à distância percorrida, ao final da viagem o tanque estará
do percurso dessa viagem, seu tanque está com a metade do combustível inicial. Nesse momento, o motorista para em um posto de gasolina e coloca combustível correspondente a
da capacidade do tanque. Considerando que o consumo é diretamente proporcional à distância percorrida, ao final da viagem o tanque estaráProvas
Questão presente nas seguintes provas
A figura abaixo ilustra um bloco de madeira no formato de um paralelepípedo com as medidas, em centímetros, das suas arestas.

Esse bloco é dividido em cubos, todos do mesmo tamanho, de modo que a medida das arestas desses cubos seja a maior possível. Sabendo-se que, nos cubos, as arestas têm a mesma medida e que, após a divisão, não há sobra de madeira, a quantidade de cubos obtidos é

Esse bloco é dividido em cubos, todos do mesmo tamanho, de modo que a medida das arestas desses cubos seja a maior possível. Sabendo-se que, nos cubos, as arestas têm a mesma medida e que, após a divisão, não há sobra de madeira, a quantidade de cubos obtidos é
Provas
Questão presente nas seguintes provas
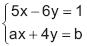
Para que o sistema linear
possua infinitas soluções, os valores de a e b devem ser tais que
valha
possua infinitas soluções, os valores de a e b devem ser tais que
valhaProvas
Questão presente nas seguintes provas

Provas
Questão presente nas seguintes provas

I - Na empresa, a administração do estresse vai além da preocupação com a saúde física do indivíduo.
II - O custo gerado pelo estresse profissional nos Estados Unidos é menor do que o gerado nos países integrantes da União Europeia.
III - No Brasil, o custo para as empresas, no que se refere ao estresse, é igual ao evidenciado nos Estados Unidos.
Está correto APENAS o que se afirma em
Provas
Questão presente nas seguintes provas
Cadernos
Caderno Container