Foram encontradas 196 questões.
Nos processos de carga de dados em bancos relacionais por meio
de processos tipo ETL, é comum a obtenção de dados oriundos de
planilhas eletrônicas, listas de contatos, e outros dados de
ambientes que chegam na forma de texto, especialmente quando
disponíveis por meio de tecnologias não diretamente integradas
aos bancos de dados.
Assinale a extensão de arquivo que é usualmente empregada em arquivos dessa natureza.
Assinale a extensão de arquivo que é usualmente empregada em arquivos dessa natureza.
Provas
Questão presente nas seguintes provas
Entre os fatores que influenciam o desempenho de um banco de
dados em operações de busca, os índices se destacam pela
facilidade de uso em relação ao ganho obtido.
Assinale o tipo de índice mais frequente em instalações de bancos de dados relacionais.
Assinale o tipo de índice mais frequente em instalações de bancos de dados relacionais.
Provas
Questão presente nas seguintes provas
A biblioteca Python de tensores que pode ser utilizada em
problemas de aprendizado profundo, podendo utilizar tanto
processadores do tipo GPU quanto CPU, é denominada
Provas
Questão presente nas seguintes provas
Com relação ao data profiling, analise as afirmativas a seguir e
assinale (V) para a verdadeira e (F) para a falsa.
I. Inspeciona dados e avalia a qualidade, usa dados e técnicas estatísticas para descobrir a verdadeira estrutura, conteúdo e qualidade de uma coleção de dados.
II. O mecanismo produz estatísticas que os analistas de dados podem utilizar para identificar padrões no conteúdo e na estrutura dos dados.
III. As contagens de nulos, a frequência de distribuição e os valores máximos e mínimos são exemplos de estatísticas utilizadas.
As afirmativas são, respectivamente,
I. Inspeciona dados e avalia a qualidade, usa dados e técnicas estatísticas para descobrir a verdadeira estrutura, conteúdo e qualidade de uma coleção de dados.
II. O mecanismo produz estatísticas que os analistas de dados podem utilizar para identificar padrões no conteúdo e na estrutura dos dados.
III. As contagens de nulos, a frequência de distribuição e os valores máximos e mínimos são exemplos de estatísticas utilizadas.
As afirmativas são, respectivamente,
Provas
Questão presente nas seguintes provas
Com relação ao ETL, a diferença de tempo entre quando os dados
são gerados no sistema de origem e quando os dados estão
disponíveis para uso no sistema de destino, denomina-se
Provas
Questão presente nas seguintes provas
Em projetos de banco de dados, os modelos conceituais são elaborados para descrever, necessariamente,
Provas
Questão presente nas seguintes provas
A respeito de manutenção de equipamentos, analise as
afirmativas a seguir.
I. A manutenção preventiva implica o monitoramento do aparelho, acompanhando seu desempenho sob o ponto de vista funcional.
II. A manutenção preditiva tem como objetivo evitar quebras e o aparecimento de falhas em máquinas e componentes, sendo realizada de forma periódica.
III. A manutenção corretiva aborda os problemas das máquinas somente após a falha ter ocorrido.
Está correto o que se afirma em
I. A manutenção preventiva implica o monitoramento do aparelho, acompanhando seu desempenho sob o ponto de vista funcional.
II. A manutenção preditiva tem como objetivo evitar quebras e o aparecimento de falhas em máquinas e componentes, sendo realizada de forma periódica.
III. A manutenção corretiva aborda os problemas das máquinas somente após a falha ter ocorrido.
Está correto o que se afirma em
Provas
Questão presente nas seguintes provas
Considere o seguinte multímetro, cuja chave seletora permite
escolher a função de medição do equipamento (funções I até
VIII), além de possuir quatro terminais (terminais 1 até 4) para
conexão do par de pontas de prova. 
Adaptado de FLUKE.COM Considerando que esse multímetro será utilizado para verificar o nível de tensão de uma tomada monofásica 127V, as duas pontas de prova e a chave seletora devem estar, respectivamente, nas posições

Adaptado de FLUKE.COM Considerando que esse multímetro será utilizado para verificar o nível de tensão de uma tomada monofásica 127V, as duas pontas de prova e a chave seletora devem estar, respectivamente, nas posições
Provas
Questão presente nas seguintes provas
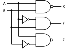
O circuito lógico a seguir é composto de duas portas inversoras,
uma porta E e duas portas NÃO E. Os sinais de entrada digitais
são A e B e podem assumir os valores 0 ou 1. Os três sinais
digitais de saída são X, Y e Z.

Duas saídas XYZ possíveis do circuito são

Duas saídas XYZ possíveis do circuito são
Provas
Questão presente nas seguintes provas
Um equipamento funciona com uma tensão de 20V e solicita 10A
da fonte de alimentação. Existe à disposição 6 baterias de 10V
que suportam no máximo uma potência de 50W.
A associação de baterias para atender à alimentação deste equipamento, utilizando um número mínimo de baterias, deve ser de
A associação de baterias para atender à alimentação deste equipamento, utilizando um número mínimo de baterias, deve ser de
Provas
Questão presente nas seguintes provas
Cadernos
Caderno Container