Foram encontradas 1.710 questões.
Julgue os seguintes itens, acerca de análise multivariada de dados.
A tabela a seguir mostra os resultados de uma pesquisa de mercado, por meio da qual foram obtidas informações acerca de quatro produtos comercializados na praça, em que Pk = 1 se o entrevistado X possui o item k e Pk = 0 se X não possui o item k. Considerando-se que a métrica de similaridade seja (A+B)/4, em que A indica a contagem de resultados 1 – 1 e B representa a contagem de resultados 0 – 0, é correto afirmar que o primeiro par de entrevistados a ser formado é o (2;5) ou (1;3).
Provas
Questão presente nas seguintes provas
Julgue os seguintes itens, acerca de análise multivariada de dados.
Considere a aplicação de uma análise fatorial ∑ = LL' + Ψ sob a matriz de covariâncias ∑ = σ² 
Nesse caso, para que exista solução para a análise fatorial com um fator, é necessário que ab < c com c ≠ 0.
Provas
Questão presente nas seguintes provas
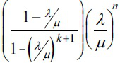
No que se refere a processos estocásticos, julgue os próximos itens.
Considere que, na fila do tipo M/M/1/K, o sistema seja finito e comporte até K elementos. Nesse caso, é correto afirmar que a probabilidade limite de haver Nt elementos no sistema no instante t é dada por pn (t) = P(Nt = n) →
em que λ é a taxa de chegadas por unidade de tempo de elementos na fila e μ é a taxa de atendimentos por unidade de tempo, e que tal probabilidade para a fila M/M/1 é obtida no limite K → ∞.Provas
Questão presente nas seguintes provas
- FundamentosAnálise de Tabelas e GráficosGráfico de Colunas ou Barras Justapostas
- Estatística Descritiva
Com relação a métodos computacionais e geração de números aleatórios, julgue os itens que se seguem.
Considere que a função densidade de probabilidade de certa variável aleatória possua o gráfico ilustrado na figura abaixo. Nesse caso, se o algoritmo EM (expectation-maximization) for aplicado a essa distribuição, independentemente do lado da cauda de início, o algoritmo convergirá para o ponto de máximo global da distribuição.

Provas
Questão presente nas seguintes provas
Ainda com relação aos modelos lineares, julgue os itens subsequentes.
Suponha que uma variável resposta Y esteja em distribuição simétrica de cauda pesada. Nesse caso, ao se ajustar um modelo de regressão simples, o gráfico normal Q-Q Plot referente a essa variável apresentará padrão semelhante ao ilustrado na figura abaixo.
Provas
Questão presente nas seguintes provas
Julgue os seguintes itens, acerca de modelos lineares.
Considere que, em um modelo de regressão linear simples, a matriz de covariância para as estimativas dos parâmetros seja dada por s2 (b) =
. Supondo-se que se deseje predizer o valor da variável resposta concernente aos dados x' h = [1,0 1,5], é correto afirmar que a variância do valor predito será igual a s2pred = [1,0 1,5]
= 3,4 +3,6 = 7,0.Provas
Questão presente nas seguintes provas
clientes em atraso (N) 45 20 10 3 2
meses em atraso (X) 0 1 2 3 4
A tabela acima mostra a distribuição de frequências do número de meses em atraso nos pagamentos das prestações dos financiamentos de crédito em um grupo de 80 clientes de certa empresa. Considerando que esses clientes formam uma amostra aleatória simples e que atraso é considerado quando X > 0, julgue os itens que se seguem, com base nessas informações.
Considere que a referida amostra de 80 clientes tenha sido retirada da população de clientes da empresa, formada por 1.000 pessoas. Nesse caso, escolhendo-se ao acaso uma dessas pessoas, a probabilidade de ela ser parte da amostra é inferior a 0,05.meses em atraso (X) 0 1 2 3 4
A tabela acima mostra a distribuição de frequências do número de meses em atraso nos pagamentos das prestações dos financiamentos de crédito em um grupo de 80 clientes de certa empresa. Considerando que esses clientes formam uma amostra aleatória simples e que atraso é considerado quando X > 0, julgue os itens que se seguem, com base nessas informações.
Provas
Questão presente nas seguintes provas
Com referência à gestão de processos, julgue os itens que se
seguem.
Define-se uma cadeia cliente-fornecedor como um conjunto de processos integrados, de modo que um processo, em determinado instante, é cliente do processo que o antecede, e em outro, é fornecedor do processo ou subprocesso que o sucede.seguem.
Provas
Questão presente nas seguintes provas
- Gestão de ProcessosOrganizações, Sistemas e Métodos
- PODC: Processo OrganizacionalProcesso Administrativo: OrganizaçãoEstrutura Organizacional
Com referência ao processo administrativo como um todo –
inclusas as funções de planejamento, organização, direção e
controle –, julgue os itens que se seguem.
A divisão do trabalho e a especialização da mão de obra especificam como a estrutura organizacional aloca as tarefas, os recursos e os departamentos que serão constituídos por chefes e subordinados.inclusas as funções de planejamento, organização, direção e
controle –, julgue os itens que se seguem.
Provas
Questão presente nas seguintes provas
- Introdução à Administração
- Teorias da AdministraçãoNovas Tendências e AbordagensParalelo das Ciências e a Quinta Onda
- Teorias da AdministraçãoNovas Tendências e AbordagensSoluções Emergentes
Com referência à evolução, às principais abordagens e a aspectos
diversos da administração no Brasil, julgue os itens a seguir.
As diferentes abordagens da administração surgiram em suas respectivas épocas como respostas aos problemas organizacionais mais relevantes.diversos da administração no Brasil, julgue os itens a seguir.
Provas
Questão presente nas seguintes provas
Cadernos
Caderno Container