Foram encontradas 125 questões.
Uma sequência de números reais tem seu termo geral,
an , dado por an
= 4.23n+1, para n ≥ 1.
Essa sequência é uma progressão
Essa sequência é uma progressão
Provas
Questão presente nas seguintes provas
Em uma empresa, o total de descontos que incidem sobre
o salário bruto de cada funcionário é proporcional ao valor
desse mesmo salário bruto. Um funcionário F1
tem salário
líquido igual a S1, calculado após a incidência do total de
descontos igual a x1
reais. Um funcionário F2
tem salário
líquido igual a S2, calculado após a incidência do total de
descontos igual a x2
reais.
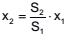
O total de descontos x2 é tal que
O total de descontos x2 é tal que
Provas
Questão presente nas seguintes provas
Os textos a seguir revelam aspectos da cultura brasileira de muito significado.

O homenageado da FLIP 2015 e autor da obra mencionada no Texto I, e o biografado e autor da obra mencionada no Texto II são, respectivamente,
Provas
Questão presente nas seguintes provas

Provas
Questão presente nas seguintes provas

No 4º parágrafo, insere-se no texto a voz do Dr. Robert Baker, médico que ensina ao empresário Robert Dernham o que fazer com a saúde de seus trabalhadores.
Tal fala apresenta um tom de aconselhamento, o que se exemplifica por meio do uso de
Provas
Questão presente nas seguintes provas

Provas
Questão presente nas seguintes provas

Provas
Questão presente nas seguintes provas

Provas
Questão presente nas seguintes provas

No primeiro parágrafo do texto, o destaque para o contexto histórico em que surgiu a medicina do trabalho tem por objetivo
Provas
Questão presente nas seguintes provas

Provas
Questão presente nas seguintes provas
Cadernos
Caderno Container