Foram encontradas 220 questões.
Brazil is one of the world's fastest growing economies
with enormous energy requirements. The growing consumer
base coupled with rapid industrial development has infused the
overall energy demand and encouraged natural gas
consumption in the country. The volatile international crude oil
prices as well as the cheaper and environment-friendly nature of
natural gas have further boosted the use of natural gas
throughout the country. This has resulted in enormous demand
for gas flow measurement and supervision devices in the
country which is all set to uplift the sales and deployment of gas
meters.
According to our latest research report "Brazil Gas Meter
Market Forecast to 2013", Brazil gas meter industry is being
increasingly benefitted by surging piped natural gas
consumption in the residential, commercial, industrial and
automobile sectors. The natural gas distribution network
reached around 18,400 Km in 2009. In order to strictly supervise
the gas flow measurement and to accurately measure its
quantity, the utilities are rapidly deploying gas meter devices in
their transportation network. These utilities are not only installing
conventional gas meters, but also rapidly opting advanced
metering devices such as AMR and AMI to ensure accurate and
immediate information on gas consumption. This adoption has
enabled utilities to automate their gas distribution networks and
upgrade safety standards in their routine operations.
Qual das alternativas abaixo NÃO encontra respaldo no texto?with enormous energy requirements. The growing consumer
base coupled with rapid industrial development has infused the
overall energy demand and encouraged natural gas
consumption in the country. The volatile international crude oil
prices as well as the cheaper and environment-friendly nature of
natural gas have further boosted the use of natural gas
throughout the country. This has resulted in enormous demand
for gas flow measurement and supervision devices in the
country which is all set to uplift the sales and deployment of gas
meters.
According to our latest research report "Brazil Gas Meter
Market Forecast to 2013", Brazil gas meter industry is being
increasingly benefitted by surging piped natural gas
consumption in the residential, commercial, industrial and
automobile sectors. The natural gas distribution network
reached around 18,400 Km in 2009. In order to strictly supervise
the gas flow measurement and to accurately measure its
quantity, the utilities are rapidly deploying gas meter devices in
their transportation network. These utilities are not only installing
conventional gas meters, but also rapidly opting advanced
metering devices such as AMR and AMI to ensure accurate and
immediate information on gas consumption. This adoption has
enabled utilities to automate their gas distribution networks and
upgrade safety standards in their routine operations.
Provas
Questão presente nas seguintes provas
Brazil is one of the world's fastest growing economies
with enormous energy requirements. The growing consumer
base coupled with rapid industrial development has infused the
overall energy demand and encouraged natural gas
consumption in the country. The volatile international crude oil
prices as well as the cheaper and environment-friendly nature of
natural gas have further boosted the use of natural gas
throughout the country. This has resulted in enormous demand
for gas flow measurement and supervision devices in the
country which is all set to uplift the sales and deployment of gas
meters.
According to our latest research report "Brazil Gas Meter
Market Forecast to 2013", Brazil gas meter industry is being
increasingly benefitted by surging piped natural gas
consumption in the residential, commercial, industrial and
automobile sectors. The natural gas distribution network
reached around 18,400 Km in 2009. In order to strictly supervise
the gas flow measurement and to accurately measure its
quantity, the utilities are rapidly deploying gas meter devices in
their transportation network. These utilities are not only installing
conventional gas meters, but also rapidly opting advanced
metering devices such as AMR and AMI to ensure accurate and
immediate information on gas consumption. This adoption has
enabled utilities to automate their gas distribution networks and
upgrade safety standards in their routine operations.
O foco principal do textowith enormous energy requirements. The growing consumer
base coupled with rapid industrial development has infused the
overall energy demand and encouraged natural gas
consumption in the country. The volatile international crude oil
prices as well as the cheaper and environment-friendly nature of
natural gas have further boosted the use of natural gas
throughout the country. This has resulted in enormous demand
for gas flow measurement and supervision devices in the
country which is all set to uplift the sales and deployment of gas
meters.
According to our latest research report "Brazil Gas Meter
Market Forecast to 2013", Brazil gas meter industry is being
increasingly benefitted by surging piped natural gas
consumption in the residential, commercial, industrial and
automobile sectors. The natural gas distribution network
reached around 18,400 Km in 2009. In order to strictly supervise
the gas flow measurement and to accurately measure its
quantity, the utilities are rapidly deploying gas meter devices in
their transportation network. These utilities are not only installing
conventional gas meters, but also rapidly opting advanced
metering devices such as AMR and AMI to ensure accurate and
immediate information on gas consumption. This adoption has
enabled utilities to automate their gas distribution networks and
upgrade safety standards in their routine operations.
Provas
Questão presente nas seguintes provas
Tuesday 23 February 2010
OFGEM'S DECISION AGAINST NATIONAL GRID'S
METERING CASE IS FURTHER ENDORSED BY THE
COURT OF APPEAL
Ofgem welcomes today's Court of Appeal ruling that
National Grid breached the law and acted anti-competitively in
the domestic gas metering market, endorsing Ofgem's April
2008 findings.
Today's ruling fully endorses the substance of Ofgem's
case, that the multi-million pound contracts struck by National
Grid with suppliers in 2002 when the metering market was
opened to competition harmed new entrants' ability to compete
and acted against consumers' interests.
The effect of the Court of Appeal's ruling is that suppliers
will be free to renegotiate the terms of contracts with National
Grid Gas, and it opens the door to claims for damages against
National Grid by competing meter operators, as the competition
law regime allows.
Welcoming today's ruling, Ofgem's Chairman Lord Mogg
said "We welcome the Court of Appeal's endorsement of
Ofgem's decision. This confirms that National Grid breached the
law and acted anti-competitively. It is a victory for consumers
and strikes a firm blow in favour of new and competing entrants
in Britain's energy market. Today's ruling shows that energy
companies who hold and abuse positions of market dominance
will face the full force of regulatory action and the law."
Today's ruling follows an earlier decision in April 2009 in
favour of Ofgem by the Competition Appeal Tribunal.
A decisão a que se refere o textoOFGEM'S DECISION AGAINST NATIONAL GRID'S
METERING CASE IS FURTHER ENDORSED BY THE
COURT OF APPEAL
Ofgem welcomes today's Court of Appeal ruling that
National Grid breached the law and acted anti-competitively in
the domestic gas metering market, endorsing Ofgem's April
2008 findings.
Today's ruling fully endorses the substance of Ofgem's
case, that the multi-million pound contracts struck by National
Grid with suppliers in 2002 when the metering market was
opened to competition harmed new entrants' ability to compete
and acted against consumers' interests.
The effect of the Court of Appeal's ruling is that suppliers
will be free to renegotiate the terms of contracts with National
Grid Gas, and it opens the door to claims for damages against
National Grid by competing meter operators, as the competition
law regime allows.
Welcoming today's ruling, Ofgem's Chairman Lord Mogg
said "We welcome the Court of Appeal's endorsement of
Ofgem's decision. This confirms that National Grid breached the
law and acted anti-competitively. It is a victory for consumers
and strikes a firm blow in favour of new and competing entrants
in Britain's energy market. Today's ruling shows that energy
companies who hold and abuse positions of market dominance
will face the full force of regulatory action and the law."
Today's ruling follows an earlier decision in April 2009 in
favour of Ofgem by the Competition Appeal Tribunal.
Provas
Questão presente nas seguintes provas
Tuesday 23 February 2010
OFGEM'S DECISION AGAINST NATIONAL GRID'S
METERING CASE IS FURTHER ENDORSED BY THE
COURT OF APPEAL
Ofgem welcomes today's Court of Appeal ruling that
National Grid breached the law and acted anti-competitively in
the domestic gas metering market, endorsing Ofgem's April
2008 findings.
Today's ruling fully endorses the substance of Ofgem's
case, that the multi-million pound contracts struck by National
Grid with suppliers in 2002 when the metering market was
opened to competition harmed new entrants' ability to compete
and acted against consumers' interests.
The effect of the Court of Appeal's ruling is that suppliers
will be free to renegotiate the terms of contracts with National
Grid Gas, and it opens the door to claims for damages against
National Grid by competing meter operators, as the competition
law regime allows.
Welcoming today's ruling, Ofgem's Chairman Lord Mogg
said "We welcome the Court of Appeal's endorsement of
Ofgem's decision. This confirms that National Grid breached the
law and acted anti-competitively. It is a victory for consumers
and strikes a firm blow in favour of new and competing entrants
in Britain's energy market. Today's ruling shows that energy
companies who hold and abuse positions of market dominance
will face the full force of regulatory action and the law."
Today's ruling follows an earlier decision in April 2009 in
favour of Ofgem by the Competition Appeal Tribunal.
Infere-se do texto queOFGEM'S DECISION AGAINST NATIONAL GRID'S
METERING CASE IS FURTHER ENDORSED BY THE
COURT OF APPEAL
Ofgem welcomes today's Court of Appeal ruling that
National Grid breached the law and acted anti-competitively in
the domestic gas metering market, endorsing Ofgem's April
2008 findings.
Today's ruling fully endorses the substance of Ofgem's
case, that the multi-million pound contracts struck by National
Grid with suppliers in 2002 when the metering market was
opened to competition harmed new entrants' ability to compete
and acted against consumers' interests.
The effect of the Court of Appeal's ruling is that suppliers
will be free to renegotiate the terms of contracts with National
Grid Gas, and it opens the door to claims for damages against
National Grid by competing meter operators, as the competition
law regime allows.
Welcoming today's ruling, Ofgem's Chairman Lord Mogg
said "We welcome the Court of Appeal's endorsement of
Ofgem's decision. This confirms that National Grid breached the
law and acted anti-competitively. It is a victory for consumers
and strikes a firm blow in favour of new and competing entrants
in Britain's energy market. Today's ruling shows that energy
companies who hold and abuse positions of market dominance
will face the full force of regulatory action and the law."
Today's ruling follows an earlier decision in April 2009 in
favour of Ofgem by the Competition Appeal Tribunal.
Provas
Questão presente nas seguintes provas
Brazil is one of the world's fastest growing economies
with enormous energy requirements. The growing consumer
base coupled with rapid industrial development has infused the
overall energy demand and encouraged natural gas
consumption in the country. The volatile international crude oil
prices as well as the cheaper and environment-friendly nature of
natural gas have further boosted the use of natural gas
throughout the country. This has resulted in enormous demand
for gas flow measurement and supervision devices in the
country which is all set to uplift the sales and deployment of gas
meters.
According to our latest research report "Brazil Gas Meter
Market Forecast to 2013", Brazil gas meter industry is being
increasingly benefitted by surging piped natural gas
consumption in the residential, commercial, industrial and
automobile sectors. The natural gas distribution network
reached around 18,400 Km in 2009. In order to strictly supervise
the gas flow measurement and to accurately measure its
quantity, the utilities are rapidly deploying gas meter devices in
their transportation network. These utilities are not only installing
conventional gas meters, but also rapidly opting advanced
metering devices such as AMR and AMI to ensure accurate and
immediate information on gas consumption. This adoption has
enabled utilities to automate their gas distribution networks and
upgrade safety standards in their routine operations.
No texto acima, o pronome relativo which, no 1º parágrafo, refere-se awith enormous energy requirements. The growing consumer
base coupled with rapid industrial development has infused the
overall energy demand and encouraged natural gas
consumption in the country. The volatile international crude oil
prices as well as the cheaper and environment-friendly nature of
natural gas have further boosted the use of natural gas
throughout the country. This has resulted in enormous demand
for gas flow measurement and supervision devices in the
country which is all set to uplift the sales and deployment of gas
meters.
According to our latest research report "Brazil Gas Meter
Market Forecast to 2013", Brazil gas meter industry is being
increasingly benefitted by surging piped natural gas
consumption in the residential, commercial, industrial and
automobile sectors. The natural gas distribution network
reached around 18,400 Km in 2009. In order to strictly supervise
the gas flow measurement and to accurately measure its
quantity, the utilities are rapidly deploying gas meter devices in
their transportation network. These utilities are not only installing
conventional gas meters, but also rapidly opting advanced
metering devices such as AMR and AMI to ensure accurate and
immediate information on gas consumption. This adoption has
enabled utilities to automate their gas distribution networks and
upgrade safety standards in their routine operations.
Provas
Questão presente nas seguintes provas
Em um clube, 20% dos sócios leem somente o jornal A, 50% dos sócios leem somente o jornal B e o restante dos sócios não lê nenhum jornal. Sabe-se que, neste clube, dos leitores de A, 80% possuem curso superior e, dos leitores de B, 60% possuem curso superior. Dos sócios que não leem nenhum jornal ninguém possui curso superior. Escolhendo aleatoriamente um sócio deste clube e verificando-se que ele não possui curso superior, a probabilidade de ele ler o jornal B é
Provas
Questão presente nas seguintes provas
Tem-se um espelho côncavo com raio de curvatura de 40 cm. Um objeto é colocado a 10 cm do vértice do espelho, conforme o esquema abaixo.

Nesse caso, a imagem forma-se

Nesse caso, a imagem forma-se
Provas
Questão presente nas seguintes provas
O valor aproximado de sen
(ângulo dado em radianos) é:


Provas
Questão presente nas seguintes provas
Um goleiro cobrou o tiro de meta e a bola descreveu uma trajetória dada pela
, sendo h a altura, em metros e t o tempo, em segundos. A altura máxima que a bola atingiu foi de
Provas
Questão presente nas seguintes provas
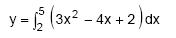
Considere a expressão:

O valor de y é:
O valor de y é:
Provas
Questão presente nas seguintes provas
Cadernos
Caderno Container