Foram encontradas 680 questões.
Em um determinado dia da semana, passageiros que
chegam ao aeroporto de Brasília se dirigem ou para a
cidade de São Paulo ou para a cidade do Rio de Janeiro.
Observou-se ainda que esses dois processos de chegadas
possuem uma distribuição exponencial. Dos passageiros
que se dirigem a São Paulo, observa-se que, na média,
a cada 6 segundos chega um passageiro no aeroporto, e
dos que se dirigem ao Rio de Janeiro, na média, a cada
12 segundos chega um passageiro no aeroporto. Pode-se
assim dizer que a taxa total de chegadas dos passageiros
por hora que se dirigem para essas duas cidades, a partir
do aeroporto de Brasília, ocorre a uma taxa λ dada por:
Provas
Questão presente nas seguintes provas
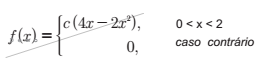
A probabilidade de haver atraso em um voo em um
determinado aeroporto em uma hora é dada pela seguinte
função de densidade de probabilidade f(x):

Pede-se para determinar o valor de c para a função de densidade probabilidade f(x) acima e indicar qual a probabilidade de P(0<x<1).

Pede-se para determinar o valor de c para a função de densidade probabilidade f(x) acima e indicar qual a probabilidade de P(0<x<1).
Provas
Questão presente nas seguintes provas
Um modelo de regressão muito usado para realizar
previsões é o modelo ARMA (Autoregressive Moving
Average). Em particular, o modelo AR(2) foi desenvolvido
para fazer previsões a respeito do movimento de
passageiros em uma rota de uma determinada linha
aérea, obtendo-se:
yt = 1,2 yt-1 – 0,19 yt-2 + εt
Sabendo que os valores reais das demandas nos tempos t–1 e t–2 foram de 11300 e 12250 passageiros, respectivamente, calcule os valores dos resíduos para os tempos t e t+1, assumindo uma previsão estática.
yt = 1,2 yt-1 – 0,19 yt-2 + εt
Sabendo que os valores reais das demandas nos tempos t–1 e t–2 foram de 11300 e 12250 passageiros, respectivamente, calcule os valores dos resíduos para os tempos t e t+1, assumindo uma previsão estática.
Provas
Questão presente nas seguintes provas
Marque a única opção que não corresponde a um conceito
de Qualidade.
Provas
Questão presente nas seguintes provas
Segundo PORTER (1996), é uma ameaça para a empresa,
a possibilidade da entrada de novos concorrentes capazes
de brigar para ganhar maior participação no mercado.
Como meio de defesa, uma empresa precisa estar,
constantemente, analisando o mercado e implantando
barreiras de entrada, para reduzir essa ameaça. Segundo
o autor, temos oito tipos de barreira de entrada. Sobre as
barreiras e seus significados, assinale a opção incorreta.
Provas
Questão presente nas seguintes provas
As organizações aprendem por meio de pessoas, valores
e sistemas que as habilitam a mudar e a melhorar
continuamente seu desempenho pelas lições da
experiência. Peter Senge descreveu cinco disciplinas que,
no conjunto, constituem os elementos principais de uma
organização que aprende. Assinale a opção cujo conceito
da disciplina está incorreto.
Provas
Questão presente nas seguintes provas
Com relação à quantificação dos Custos da Qualidade,
analise as afirmativas, classificando-as como certas ou
erradas. A seguir, escolha a opção correta.
I. Os Custos das Falhas Externas ocorrem quando o
produto entregue ou o serviço prestado ao cliente não
apresenta a Qualidade esperada.
II. Os Custos de Avaliação são todos aqueles incorridos
no esforço de fazer certo na primeira vez, ou seja,
evitar a ocorrência de defeitos.
III. Os Custos das Falhas Internas surgem quando
produtos, componentes, materiais ou serviços não
atendem aos requisitos da Qualidade e as falhas são
descobertas antes da entrega do produto ou prestação
do serviço ao cliente.
IV. Os Custos de Prevenção estão associados às
atividades de medir e avaliar as características da
Qualidade dos produtos ou serviços, os componentes
ou os materiais utilizados para assegurar conformidade
com especificações.
Estão corretos apenas os itens
Provas
Questão presente nas seguintes provas
A respeito das teorias sobre as escolas de planejamento
estratégico, assinale a opção correta.
Provas
Questão presente nas seguintes provas
- Gestão de Conflitos
- Gestão de PessoasGestão Participativa
- Gestão de PessoasLiderança
- Gestão de PessoasGrupos e Equipes de TrabalhoComportamento Organizacional e Trabalho em Equipe
- Gestão de PessoasMotivação
- Gestão Estratégica
- Tomada de Decisão
O Modelo de Tuckman, para o desenvolvimento de grupos
de trabalho para atuar em Sistemas Colaborativos, tem os
seguintes estágios sucessivos:
Provas
Questão presente nas seguintes provas
- Gestão Estratégica
- PODC: Processo OrganizacionalProcesso Administrativo: PlanejamentoPlanejamento Estratégico, Tático e Operacional
A IN SLTI 04/2010, Art. 4° , parágrafo único, determina
que se o órgão não possuir um Planejamento Estratégico
Institucional formalizado deverá
Provas
Questão presente nas seguintes provas
Cadernos
Caderno Container