Foram encontradas 860 questões.
Em um hospital, Maria, que é técnica em enfermagem, tendo observado o desejo de suas colegas em utilizar jalecos bordados, retirou, em 31/8/2010, R$ 4.000,00 de uma aplicação que lhe rendia 6% ao mês e investiu na compra desse tipo de jaleco. Ao revender os jalecos para suas colegas, Maria parcelou os pagamentos, recebendo R$ 3.000,00 em 31/10/2010 e R$ 2.500,00 em 31/12/2010.
Com base nessa situação hipotética e considerando 1,26 como valor aproximado para 1,064, julgue o item.
A taxa interna de retorno bimestral do investimento na compra e venda dos jalecos foi de 25%.
Provas

A matriz acima corresponde à matriz de transição de estados de uma cadeia de Markov em tempo discreto. Julgue o item com base na matriz.
Provas

A matriz acima corresponde à matriz de transição de estados de uma cadeia de Markov em tempo discreto. Julgue o item com base na matriz.
Provas

A matriz acima corresponde à matriz de transição de estados de uma cadeia de Markov em tempo discreto. Julgue o item com base na matriz.
Provas
Em um hospital, Maria, que é técnica em enfermagem, tendo observado o desejo de suas colegas em utilizar jalecos bordados, retirou, em 31/8/2010, R$ 4.000,00 de uma aplicação que lhe rendia 6% ao mês e investiu na compra desse tipo de jaleco. Ao revender os jalecos para suas colegas, Maria parcelou os pagamentos, recebendo R$ 3.000,00 em 31/10/2010 e R$ 2.500,00 em 31/12/2010.
Com base nessa situação hipotética e considerando 1,26 como valor aproximado para 1,064, julgue o item.
A taxa remuneratória da aplicação inicial de Maria no período de 31/8/2010 a 31/12/2010 foi superior a 25%.
Provas
Nos preços dos tênis mostrados na vitrine de uma loja está embutido o lucro de 60% sobre o preço de custo. Por causa das baixas vendas deste mês e do consequente aumento dos estoques,o dono da loja decidiu veicular o seguinte anúncio.

Supondo que o desconto mencionado no anúncio seja aplicado sobre o valor de vitrine dos tênis, julgue o item a seguir.
Caso, em determinado dia, sejam vendidos, com o referido desconto, 20 pares de um modelo de tênis cujo par custe R$ 50,00 para o vendedor, este arcará com um prejuízo superior a R$ 350,00 nesse dia.
Provas
Tendo como referência essa situação, julgue o item, com base nos conceitos de probabilidade e inferência estatística.
.Provas
- FundamentosAmostra
- Amostragem
- Estatística DescritivaMedidas de Dispersão
- Estatística DescritivaMedidas de Tendência Central
Tendo como referência essa situação, julgue o item, com base nos conceitos de probabilidade e inferência estatística.
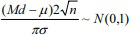
, μ e σ representam, respectivamente, a média amostral, a média populacional e o desvio padrão populacional dessa distribuição, então é correto afirmar que
se o tamanho da amostra n for suficientemente grande.Provas
Nos preços dos tênis mostrados na vitrine de uma loja está embutido o lucro de 60% sobre o preço de custo. Por causa das baixas vendas deste mês e do consequente aumento dos estoques,o dono da loja decidiu veicular o seguinte anúncio.

Supondo que o desconto mencionado no anúncio seja aplicado sobre o valor de vitrine dos tênis, julgue o item a seguir.
Caso um par de tênis seja vendido com o desconto anunciado, o preço de venda será 40% inferior ao preço de custo.
Provas

Um analista deseja avaliar se o tempo — Y —, em dias, que um processo judicial leva para ser concluído está relacionado com a quantidade — X — de juízes disponíveis no tribunal em que tal processo foi julgado. O quadro acima apresenta a tabela de análise de variância (ANOVA) correspondente a essa avaliação por
regressão linear simples, em que Y é a variável resposta e X é a variável regressora, com base no método de mínimos quadrados ordinários. Considerando essas informações e os conceitos de análise de regressão linear e inferência estatística, julgue o item.
Provas
Caderno Container