Foram encontradas 1.406 questões.
Um sistema de refrigeração consiste na retirada de calor de um
ambiente ou produto. Ao ser admitido no condensador, o fluido
refrigerante no estado gasoso deve ser condensado antes de
retornar ao evaporador. Este processo se dá através de um
trocador de calor, denominado condensador, por meio de três
fases distintas, que ocorrem na seguinte ordem:
Provas
Questão presente nas seguintes provas
Apresenta-se a seguir a nomenclatura utilizada em 4 tipos de
manutenção:
I. Manutenção de parada II. Manutenção de quebra III. Manutenção baseada no tempo IV. Manutenção baseada nas condições
A manutenção preventiva combina as formas de manutenção dos tipos
I. Manutenção de parada II. Manutenção de quebra III. Manutenção baseada no tempo IV. Manutenção baseada nas condições
A manutenção preventiva combina as formas de manutenção dos tipos
Provas
Questão presente nas seguintes provas
Segundo terminologia recomendada pela Associação Brasileira de
Normas Técnicas – ABNT para os serviços de manutenção, pode-se
dizer, em relação ao “defeito” e à “falha”, que
Provas
Questão presente nas seguintes provas
Assinale a opção que indica, em ordem crescente, os custos
associados a cada um dos três tipos de manutenção em um
sistema, desconsiderando os lucros cessantes.
Provas
Questão presente nas seguintes provas
As inspeções preditivas podem ser realizadas para avaliar as
condições de sistemas e equipamentos, a fim de determinar o
tempo mais adequado para determinado tipo de manutenção.
Assinale a opção que apresenta duas tecnologias de inspeção que podem ser aplicadas a condensadores.
Assinale a opção que apresenta duas tecnologias de inspeção que podem ser aplicadas a condensadores.
Provas
Questão presente nas seguintes provas
O “Modo de Falha e Análise do Efeito” (FMEA, pela sigla em
inglês) caracteriza-se como sendo uma técnica
Provas
Questão presente nas seguintes provas
Assinale a opção que indica, em engenharia de manutenção, o
conceito de manutenabilidade.
Provas
Questão presente nas seguintes provas
A investigação estruturada que ajuda a identificar a verdadeira
causa de um problema, assim como as ações necessárias para
eliminá-la, é denominada de
Provas
Questão presente nas seguintes provas
A figura mostra a curva de variação do NPSH requerido com a vazão de uma bomba de água.

Essa bomba recalca uma vazão de 250 m3/h usando um rotor de 220 mm. Considere no local que o peso específico da água é de 9800 N/m3 , a pressão atmosférica é de 101.000 Pa e a pressão de vapor da água, à temperatura local, é de 3.000 Pa.
A máxima elevação que a bomba pode ser elevada acima da superfície da água do reservatório de sucção, para que não ocorra cavitação, é
Provas
Questão presente nas seguintes provas
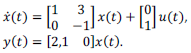
Em sua empresa, você é o engenheiro eletricista responsável por
estabilizar um equipamento experimental. O fabricante do
equipamento informa que a modelagem da dinâmica do mesmo
é dada pela seguinte representação no espaço de estados:

As variáveis de entrada, de saída e o vetor de estado são, respectivamente, u(t), y(t) e x(t) tendo componentes reais e de dimensões compatíveis com as matrizes do sistema.
Utilizando-se uma realimentação negativa, com o vetor x(t) pré multiplicada pela matriz de ganho K = [k1 k2] ∈ R1x2, deseja-se um sistema subamortecido e assintoticamente estável.
Esse desempenho é obtido para os reais K1 e K2 , se

As variáveis de entrada, de saída e o vetor de estado são, respectivamente, u(t), y(t) e x(t) tendo componentes reais e de dimensões compatíveis com as matrizes do sistema.
Utilizando-se uma realimentação negativa, com o vetor x(t) pré multiplicada pela matriz de ganho K = [k1 k2] ∈ R1x2, deseja-se um sistema subamortecido e assintoticamente estável.
Esse desempenho é obtido para os reais K1 e K2 , se
Provas
Questão presente nas seguintes provas
Cadernos
Caderno Container