Foram encontradas 259 questões.
Em relação às políticas de proteção social aplicadas na década dos noventa, é correto afirmar que:
Provas
Em relação ao período recessivo 1981-1983, vivido pela economia brasileira, é INCORRETO afirmar que:
Provas
O quadro a seguir fornece os tamanhos e os desvios padrões da variável Y dentro de 3 estratos nos quais uma população foi dividida.

Provas
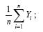
De uma população com 2501 elementos será extraída uma amostra aleatória simples de tamanho 501 com o objetivo de estimar a média da população. Se
é a média amostral por amostragem com reposição e
é a média amostral por amostragem sem reposição, a razão
Provas
Na amostragem por conglomerados, pode-se afirmar que:
Provas
O enunciado a seguir vale para as questões 96 e 97.
Em um estudo sobre o efeito de uma campanha de publicidade (X - medida em milhares de reais investidos) nas vendas de um produto (Y - em 1000 unidades vendidas), ajustou-se um modelo de regressão linear simples obtendo-se:

Um intervalo de 90% de confiança para a predição de uma nova observação de vendas, quando são investidos R$ 13.000,00 em publicidade, é dado, aproximadamente, por:
Provas
O enunciado a seguir vale para as questões 96 e 97.
Em um estudo sobre o efeito de uma campanha de publicidade (X - medida em milhares de reais investidos) nas vendas de um produto (Y - em 1000 unidades vendidas), ajustou-se um modelo de regressão linear simples obtendo-se:

Um intervalo de 95% de confiança para o coeficiente de publicidade é dado por:
Provas
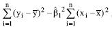
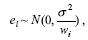
Considere o modelo de regressão linear simples
com
independentes. Sejam
, os resíduos do modelo, em que os yˆi são os valores ajustados pelo método de mínimos quadrados. Analise as afirmativas a seguir:
I – Os resíduos são independentemente distribuídos.
II – Os resíduos são identicamente distribuídos.
III – A soma de quadrados dos resíduos pode ser calculada por
, em que 
A(s) afirmativa(s) correta(s) é/são somente:
Provas
com
, independentes,
, não-aleatório. O estimador de máxima-verossimilhança de
é:Provas
Ainda em relação à análise de pares conjugados, sob a hipótese de que as 2n observações, realizadas em n indivíduos, provêm todas de uma mesma população contínua cuja densidade é simétrica, o valor esperado da estatística dos postos com sinal de Wilcoxon é:
Provas
Caderno Container